考虑复杂裂缝网络的致密油藏水平井体积压裂改造效果评价

An Evaluation of the Stimulation Effect of Horizontal Well Volumetric Fracturing in Tight Reservoirs with Complex Fracture Networks

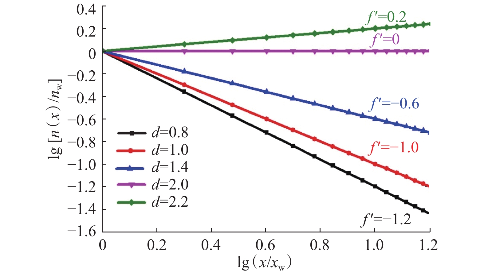
  • 摘要: 提高储层压裂改造效果对经济有效开发致密油藏至关重要,评价压裂改造效果需要考虑复杂裂缝网络分布特征。基于微地震数据,采用分形随机缝网生成算法反演得到了次生裂缝分布特征,考虑压裂水平井近井地带的物性变化,建立了压裂水平井多区渗流数学模型,并进行了求解。基于该模型研究了次生裂缝复杂程度对流体流动的影响,研究结果表明:次生裂缝复杂程度对整个流动阶段均有较大影响,分形维数越大,产油量越高;改造带宽越大,拟稳态窜流早期线性流、双线性流持续时间越长;次生裂缝分布的压裂改造区域是生产早中期的主力区域,其产油量贡献度也最大;实际生产过程中应尽量增大改造区域体积,并使与改造区域不相邻区域的体积最小,以提高生产井的早期产油量、最大程度地提高储层采收率。研究结果可为致密油藏体积压裂效果评价及压裂优化设计提供理论依据。

     

    Abstract: Improvements on the effect of fracturing stimulation is essential for the economic and effective development of tight reservoirs, and it is necessary to consider the distribution characteristics of complex fracture networks while evaluating the effect of fracturing stimulation. Based on microseismic data, distribution characteristics of secondary fractures were obtained by using a fractal random fracture networks generation algorithm. By considering the physical properties variation of the near borehole region of fractured horizontal wells, a mathematical model of fluid flow in multi-zone porous media of fractured horizontal wells was established and then resolved. Based on the model, the influences of the complexity of secondary fractures on the flow were studied. The results demonstrate that the complexity of secondary fractures has a significant impact on the entire flow stage. The findings include the larger the fractal dimension, the higher the yield; the wider the stimulated zone, the longer the steady-state turbulence early linear flow and the bilinear flow will last. The fracturing stimulated area with the distributed secondary fractures is the main area in the early to middle stage of production, and it makes the largest contribution to the production. Thus, during actual production, the best approach is to increase the stimulated volume so as to improve the early production and to maximize the EOR of reservoirs. The research results can provide a theoretical basis ofr the evaluation of a volume fracturing effect of tight reservoirs and the optimization of fracturing design.

     

/

返回文章
返回