极地钻井井筒温度压力预测模型及分布规律研究

Prediction Model and Distribution Law Study of Temperature and Pressure of the Wellbore in drilling in Arctic Region

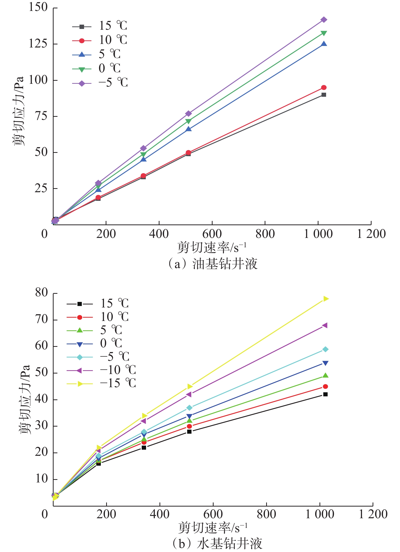
  • 摘要: 极地永久冻土层的低温条件会影响钻井液的流变性,从而影响极地钻井中井筒温度和压力的分布。为了解极地永久冻土层低温条件对钻井中井筒温度和压力分布的影响规律,为极地钻井设计和钻井施工提供依据,分析了低温对水基和油基钻井液流变性的影响,考虑低温对钻井液流变性的影响、永久冻土层与井筒之间的耦合作用,建立了极地钻井井筒温度压力预测模型。通过与实测结果和试验结果对比,证明极地钻井井筒温度压力预测模型的预测精度达到了极地钻井要求。利用所建模型模拟了一口极地井钻井循环和停泵工况下的温度和压力分布,结果表明:循环期间,钻井液吸收下部高温地层的热量,通过环空上返时将热量传递至井筒浅部永久冻土层,导致近井地带冻土层融化,冻土层融化消耗热量使井筒温度降低;随着循环时间增长,环空循环摩阻增大;停泵时间越长,井筒钻井液的温度越接近地层环境温度,开井时环空循环压耗越大,开井泵压也越高。研究结果可为极地井钻井设计和钻井施工提供依据和指导。

     

    Abstract: The low temperature condition of permafrost in Arctic region affects the rheology of drilling fluids and the distribution of temperature and pressure in the wellbore during drilling. In order to understand the influence law of permafrost in Arctic region on the temperature and pressure distribution in wellbore and provide a basis for the design and construction for drilling in Arctic region, a model to predict the wellbore temperature and pressure of drilling in Arctic region was built. It was based on the analysis of the influence of low temperatures on the rheology of water-based and oil-based drilling fluids, considering the coupling between permafrost and wellbore. By comparing the measured and test results, it was verified that the prediction accuracy of the proposed model met the requirements of drilling in Arctic region. The model was used to simulate the temperature and pressure distribution in a wellbore in Arctic region under the conditions of no circulation or pump function. The results showed that the drilling fluids absorbed the heat of the high-temperature formation and returned to the annulus transferring the heat to the permafrost in shallow part of the wellbore during the circulation. This process thawed the permafrost near the wellbore and the wellbore temperature was lowered due to the heat consumed by thawing. The circulating friction in annulus increases with the increase of circulation time. The longer the pump shutdown lasts, the closer the temperature of drilling fluid to the formation temperature in the wellbore. The larger the annular circulation pressure loss, and the higher the pump pressure. The research results can provide a basis and guidance for design and construction of drilling in Arctic region.

     

/

返回文章
返回