废弃油井转地热井取热性能评价及井型对比

Heat Extraction Evaluation and Well Pattern Comparison of Abandoned OilWells Converted into Geothermal Wells

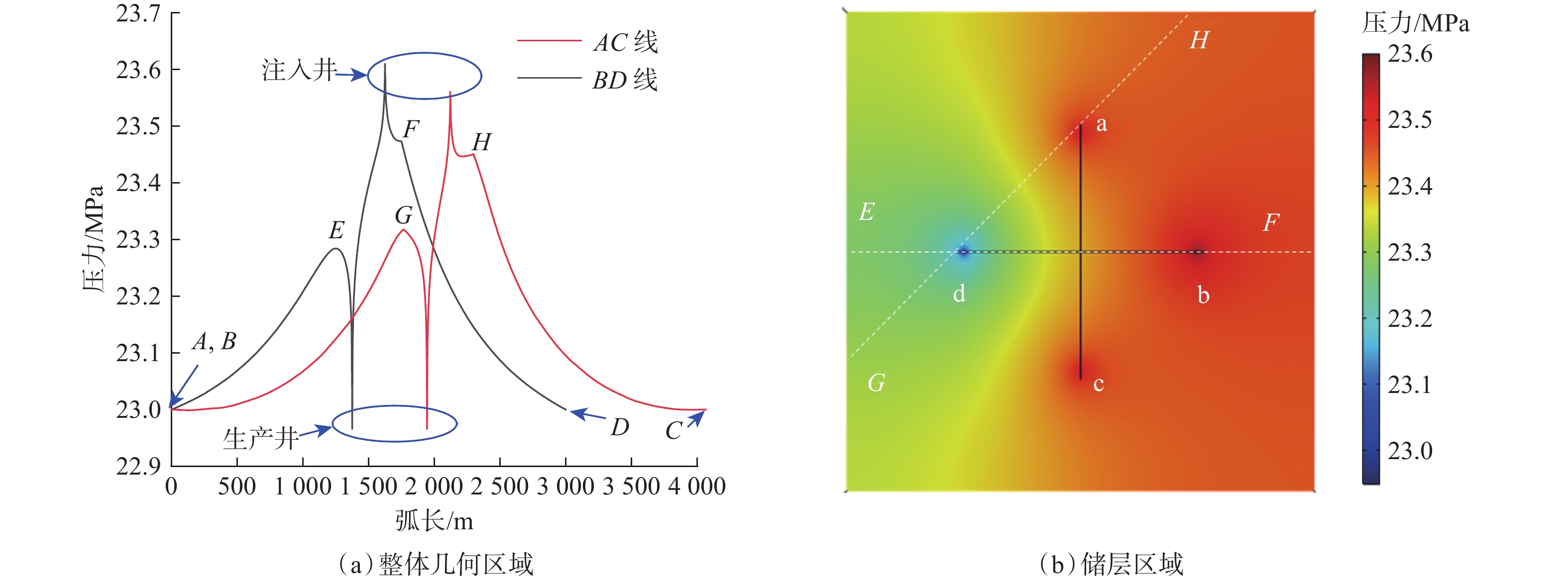
  • 摘要: 地热能开发具有很多优势,但建井成本占总成本一半以上,限制了其推广利用。部分油田废弃井蕴含丰富的地热资源,将废弃油井改造为地热井进行取热,可大幅降低成本,提升经济效益。达到含水经济极限的油藏也可用于热量提取,实现热−油联产。目前,大多数地热井网取热研究为定井型或/和不考虑油水两相流动。然而,不同井型下油水流动和传热特性对油田地热开发方案的设计与调整具有重要影响。为此,建立了考虑油水两相流的热流耦合模型,对比了各种井型下的生产特性,如生产温度、注采压差、产液量和产油量。研究表明:不同井型的生产温度和压差的最大差值分别可达22.56 K和1.03 MPa,注入井和生产井交叉对称分布时,取热系统具有最高的生产温度和产油量,同时具有较低的注采压差。研究揭示了不同井型在热提取过程中温压场的演变特征,可为设计和调整井型提供依据,为油田热−油联产评价提供一定指导。

     

    Abstract: Geothermal energy development has many advantages, but well construction accounts for half of the total costs, which restricts the promotion and utilization of geothermal energy. Some abandoned oil wells have abundant geothermal resources and converting them into geothermal wells for heat extraction can significantly reduce costs and improve economic efficiency. Moreover, the reservoirs that reach the economic limit of water cut can also be used for heat extraction to achieve co-production of heat and oil. Currently, most research on heat extraction from geothermal well patterns focuses on fixed well patterns or/and does not consider oil-water two-phase flows. However, the oil-water flow and heat transfer characteristics of different well patterns are of great significance for the design and adjustment of geothermal development schemes of oilfields. Therefore, a heat-flow coupling model considering oil-water two-phase flows was established. The production characteristics of diverse well patterns were compared, such as production temperature, pressure difference between injection and production, liquid production, and oil production. Research shows that the maximum difference of the production temperatures and pressure differences between diverse well patterns can reach 22.56 K and 1.03 MPa, respectively. When the injection wells and production wells are cross-symmetrically distributed, the heat extraction system has the highest production temperature and oil production, as well as a lower pressure difference between injection and production. The research reveals the evolution characteristics of temperature and pressure fields during heat extraction from different well patterns, providing a basis for designing and adjusting the well patterns and some guidance for the evaluation of the co-production of heat and oil in oilfields.

     

/

返回文章
返回