树莓状聚合物纳微米封堵剂的制备及性能评价

Preparation and Performance Evaluation of Raspberry-Like Polymer Nano-Micro Plugging Agent

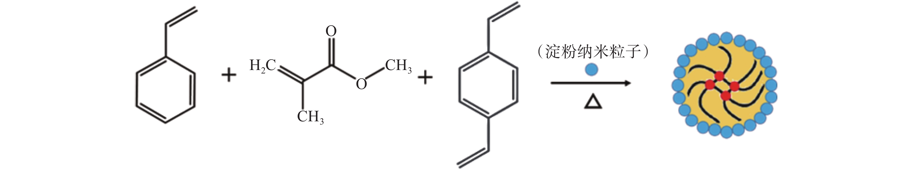
  • 摘要: 为解决硬脆性泥页岩地层井壁失稳问题,国内外通过乳液聚合方法研发了纳微米封堵剂,但在应用过程中存在纳微米尺寸不易保持、钻井液易起泡等问题。为此,以苯乙烯、甲基丙烯酸甲酯作为聚合反应单体,二乙烯基苯作为聚合反应内交联剂,以淀粉纳米粒子为乳液稳定剂,通过Pickering乳液聚合法制备了一种用于水基钻井液的树莓状纳微米封堵剂(即表面吸附淀粉纳米粒子的交联P(St−co−MMA)微球)。对树莓状纳微米封堵剂的粒子直径、形貌及结构特点进行了表征分析,并对其性能进行了室内评价试验,结果发现,树莓状纳微米封堵剂能显著降低聚合物氯化钾钻井液的API滤失量和渗透封堵仪(PPA)滤失量,可有效封堵地层纳微米级孔隙,解决了钻井液的起泡问题,且对钻井液流变性能影响较小,能够满足页岩油气钻井井壁稳定的需求。

     

    Abstract: In order to solve the problem of wellbore instability in hard and brittle shale formations, nano-micro plugging agents have been developed in China and abroad by emulsion polymerization method. However, the nano-micro size of the plugging agent during application is difficult to maintain, and the drilling fluid is easy to foam. To this end, styrene and methyl methacrylate were used as monomers for polymerization, and divinylbenzene was used as an internal crosslinking agent for polymerization, with starch nanoparticles as emulsion stabilizers. A raspberry-like nano-micro plugging agent (i.e. raspberry-like crosslinked P (St-co-MMA) microspheres with starch nanoparticles adsorbed on the surface) was prepared by Pickering emulsion polymerization method for water-based drilling fluids. The particle size, morphology, and structure characteristics of crosslinked P(St-co-MMA) microspheres were characterized and analyzed, and their performance was evaluated in laboratory tests. The results show that the crosslinked P (St-co-MMA) microspheres can significantly reduce the American Petroleum Institute (API) filtrate loss and permeability plugging apparatus (PPA) filtrate loss of polymer potassium chloride drilling fluid and effectively plug the micron pores of the formation. The foaming problem of drilling fluid is solved, and the rheological property of drilling fluid is less affected, which can meet the needs of wellbore stability of shale oil and gas formation.

     

/

返回文章
返回