Abstract:
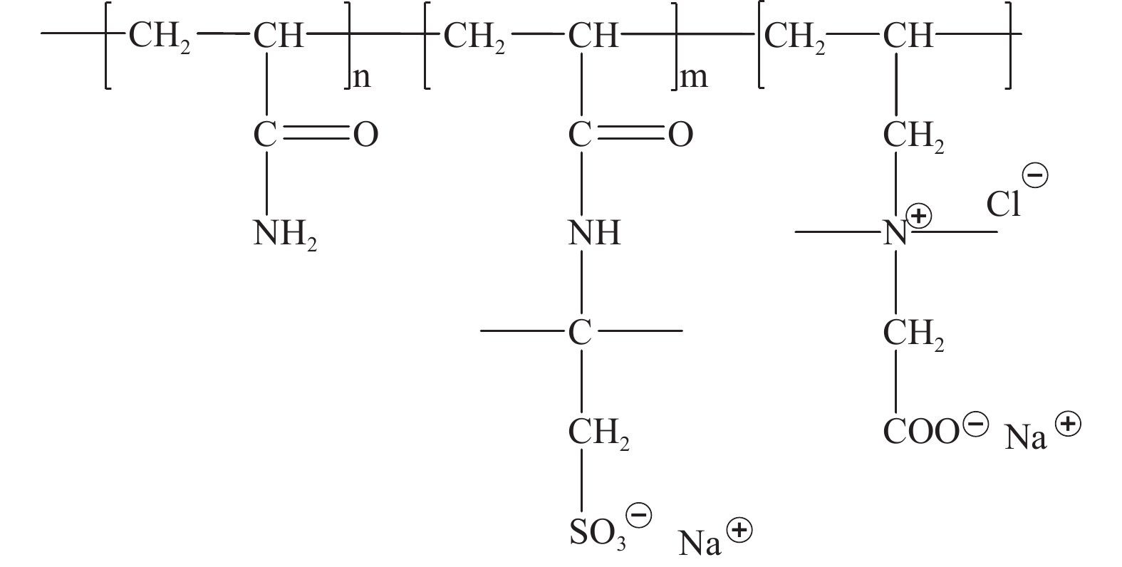
The reservoirs in Shunbei Oil and Gas Field have developed multiple fractures, each with one or more grating-like reserves. Such highly separated reserves require the stimulation of multiple fractured reserves through staged completion to enhance well productivity. By optimizing the formulation of rubber materials, vulcanization technology, and mechanical structure of completion tools, key tools for staged completion such as high-temperature and high-pressure resistant open hole packers with large expansion ratios, ball-throwing grading sliding sleeves, differential pressure sliding sleeves, and completion packers were developed. A high-temperature resistant crosslinking retarded acid was developed based on the developed amphoteric acid thickening agents and organic-inorganic high-temperature resistant double crosslinking agents. By using the differences in viscosity and density of fracturing fluids and acid liquids, a deep acid fracturing technology for remote connection was formed. Based on the research and development of key completion tools, high-temperature acid liquids, and acid fracturing processes, a staged completion technology for ultra-deep wells in the Shunbei Oil and Gas Field was formed following the concept of geology and engineering integration, which had been applied in 12 wells in Shunbei Oil and Gas Field. The results show that the open hole packers, ball-throwing grading sliding sleeves, and differential pressure sliding sleeves can withstand the temperature of 180 °C and pressure of 90 MPa, with stage levels up to 5. The crosslinking retarded acid system can withstand the temperature of 180 °C, with viscosity increased by more than two times and acid rock reaction rate reduced by more than 20%. The penetration distance of acid liquids was increased from 100 m to 120 m. The maximum stage level applied on site has reached 4, with packers down to 8833 m in depth with highest temperature of 182 °C. After fracturing, the production rate was increased by 20% compared to adjacent wells on average. Three wells including SHB4-5H reached a daily production of 1000 tons, and the goal of high production within few wells was achieved.