气侵后井底初始气泡平均直径预测模型实验研究

Experimental Study on a Prediction Model for the Average Diameter of Initial Bubbles at Bottom Hole after Gas Cut

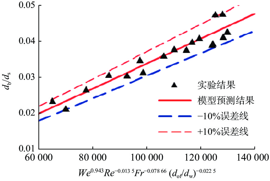
  • 摘要: 为了提高气侵后井筒气液两相流动计算结果的准确性,实验分析了气侵后井底初始气泡直径分布特征,建立了初始气泡平均直径预测模型。用不同质量分数黄原胶溶液模拟钻井液,用多孔介质模拟地层,实验分析了不同液相流变性、地层平均孔隙直径和不同气侵速度下井筒底部气泡群的直径分布特征。实验结果表明:模拟钻井液切力越大、气侵速度越大,生成的初始气泡直径范围越大,出现频率最高的气泡直径和最大气泡直径均增大;地层孔隙直径对初始气泡直径影响不明显。基于实验结果,综合考虑钻井液黏度、气体流量和表面张力等因素的影响,得到了侵入井底初始气泡平均直径实验预测模型;并考虑实际钻井过程中井壁处气体径向侵入特征和井斜角的影响,建立了侵入井底初始气泡平均直径预测模型。井底初始气泡直径预测模型的建立,为气侵后井筒气液两相流动精确计算提供了理论支撑。

     

    Abstract: In order to improve the accuracy of the calculation results of the gas-liquid two-phase flow along the bottom hole after gas cut, the diameter distribution characteristics of initial bubbles at the bottom hole after gas cut were experimentally studied, and a prediction model for the average diameter of the initial bubbles was established. Xanthan gum solutions with different mass fractions were used to simulate drilling fluids, and porous media were utilized to simulate the formations. The bottom hole diameter distribution characteristics of the bubble groups were observed experimentally under different liquid phase rheology, average pore diameter of formation, and gas cut rates. The experimental results showed that a larger yield strength of the simulated drilling fluid and a higher gas cut rate resulted in a larger distribution of diameter range of the initial bubbles generated. In addition, the diameter of bubbles with the highest frequency of occurences and that of the biggest bubbles both increased. However, the formation’s pore diameter had no obvious effect on the initial bubble diameter. According to the experimental results, an experimental prediction model for the average diameter of the initial bubbles invading the bottom hole was established, which comprehensively considered the influence factors such as drilling fluid viscosity, gas flow rate, and surface tension. Furthermore, an prediction model for the average diameter of the initial bubbles invading the well bottom was established by considering the influence of the radial intrusion characteristics of the gas at the borehole wall and the hole deviation angle during the actual drilling. The establishment of the prediction model for the diameter of the initial bubbles at the bottom hole provides theoretical support for the accurate calculation of the gas-liquid two-phase flow along the wellbore after gas cut.

     

/

返回文章
返回