“深海一号”二期深水高压气田钻完井关键技术创新与实践

Innovation and Practice of Key Technologies for Drilling and Completion in Deepwater High-Pressure Gas Field of “Deep Sea No.1” Phase II Project

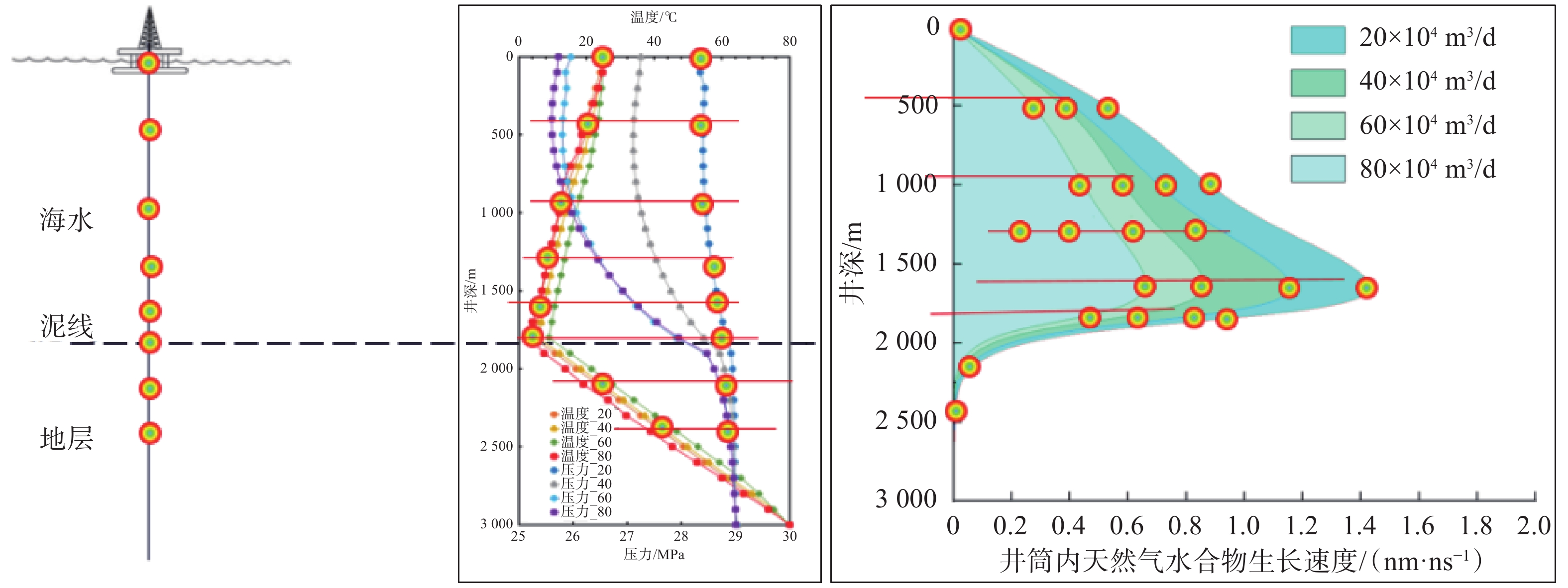
  • 摘要: “深海一号”二期工程深水高压气田钻完井作业面临水下井口集中、干涉风险高,深层地质条件复杂、可钻性差,压力窗口窄、井控挑战大,高温高压、长效生产保障难等多重挑战。为此,开展了集中式水下井口规模化作业、深水深层钻完井提速、深水高压井安全控制、深水长效生产保障等技术攻关,形成了以安全、提速、长效生产为核心的深水高压气田钻完井技术。该技术在“深海一号”二期工程12口开发井的现场应用表明,与一期工程相比,钻井速度大幅提升,作业效率全面提升,项目工期大幅缩短,有力支撑了“深海一号”二期工程深水高压气田的顺利投产。“深海一号”二期工程的顺利完成,标志着我国自营深水钻完井技术实现了重大突破,也为国内外深水高压气田开发提供了借鉴。

     

    Abstract: The drilling and completion operations in deepwater oil and gas wells of the “Deep Sea No.1” Phase II project face multiple challenges such as concentrated underwater wellheads, high interference risks, complex deep geological conditions, poor drillability, narrow pressure windows, difficult well control, high-temperature and high-pressure, and difficulties in ensuring long-term production. To this end, technical researches on large-scale operation in centralized underwater wellheads, drilling speed increase in deep water and deep layer, deepwater high-pressure well safety control, and deepwater long-term production guarantee were carried out, and key technologies of drilling and completion in deepwater high-pressure gas fields with safety, speed increase, and long-term production as the core were formed. On-site applications in 12 development wells of the “Deep Sea No.1” Phase II project demonstrate that the drilling speed has been greatly improved, and the operating efficiency has been comprehensively enhanced compared with that in the Phase Ⅰ project. The project duration has been greatly shortened, which strongly supports the smooth production of the deepwater high-pressure gas field of the “Deep Sea No.1” Phase II project. The successful completion of the “Deep Sea No.1” Phase II Project marks a great breakthrough in self-operated deepwater drilling and completion technologies in China and provides technical reference for the development of deepwater high-temperature and high-pressure gas fields in China and abroad.

     

/

返回文章
返回