海洋探井隔水导管分段控制方程及力学特性研究

Research on Segmented Control Equations and Mechanical Properties of Riser in Offshore Exploratory Wells

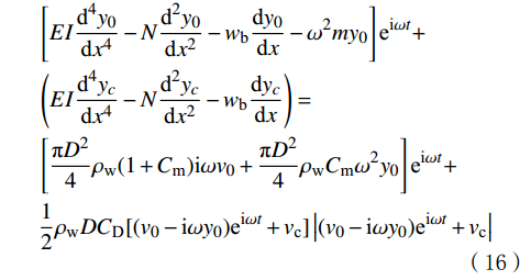
  • 摘要: 为解决海洋探井隔水导管力学特性分析将导管泥线以下部分简化为固定约束导致误差大的问题,采用达朗贝尔原理和微元平衡方程,结合Morison方程和API规范,将隔水导管分为空气段、水中段和海底土嵌入段,综合考虑风浪流载荷及管土相互作用,构建了更精确的理论力学模型。通过线性化处理和傅里叶级数展开实现非线性项的等效转换,最终将理论力学模型的偏微分方程组转化为一阶常微分方程组进行迭代求解。模型验证表明,其计算结果与有限元仿真高度吻合,最大侧向位移误差仅为0.84 m(波高13.8 m时),证实了模型的可靠性。案例分析表明,隔水导管的力学响应呈现明显的空间特征:最大侧向位移出现在水下30 m处,最大转角位于空气段顶端,而最大von Mises应力集中于泥线以下土体段(约260 MPa)。参数敏感性分析表明:波高从13.8 m增至20.7 m,隔水导管侧向位移增幅达146%;流速从1.58 m/s增大至2.32 m/s,应力水平增大23%;隔水导管壁厚增加6 mm,可使应力降低15%;顶张力提高200 kN,可使侧向位移减小28%;砂土内摩擦角变化对导管力学响应的影响较弱(内摩擦角减小10°,仅使侧向位移增加5%)。研究结果表明,通过迭代计算确定土体影响深度的方法,替代传统的6倍管径固定约束假设,不仅提高了理论力学模型的计算精度,也为隔水导管力学响应分析提供了更合理的理论框架。

     

    Abstract: In order to eliminate the error caused by the simplification of the riser below mudline to fixed constraint in the mechanical characteristic analysis of the riser in the offshore exploratory well, the D’Alembert principle and the micro-element balance equation were used, in combination with the Morison equation and API guidelines. The riser was divided into an above-water segment, an underwater segment, and a seabed soil-embedded segment. A more accurate theoretical mechanical model was constructed by considering wind/wave current load and pipe–soil interaction. Through linearization and Fourier series expansion, the equivalent transformation of nonlinear terms was realized. Finally, the partial differential equations of the theoretical mechanical model were transformed into first-order ordinary differential equations for iterative solutions. The model verification shows that the calculated results are highly consistent with the finite element simulation, and the maximum lateral displacement error is only 0.84 m (when the wave height is 13.8 m), which confirms the reliability of the model. The case study shows that the mechanical response of the riser shows obvious spatial characteristics: the maximum lateral displacement occurs at 30 m underwater; the maximum rotation angle is located at the top of the above-water segment, and the maximum von Mises stress is concentrated in the soil-embedded segment below the mudline (about 260 MPa). Parameter sensitivity analysis reveals that the lateral displacement of the riser increases by 146% when the wave height increases by 6.9 m (from 13.8 m to 20.7 m). When the flow velocity increases from 1.58 m/s to 2.32 m/s, the stress level increases by 23%. The stress decreases by 15% when the thickness of the riser increases by 6 mm. Raising the top tension by 200 kN reduces the lateral displacement by 28%. The change in the internal friction angle of sand has a weak effect on the mechanical response of the riser (the lateral displacement only increases by 5% when the internal friction angle decreases by 10°). The results indicate that the iterative calculation approach for determining the soil influence depth replaces the conventional fixed constraint assumption of six times the casing diameter. By this way, it improves the computational accuracy of theoretical mechanical model, providing a more rational framework for the analysis of riser mechanical response.

     

/

返回文章
返回