钻井对深水含天然气水合物地层孔隙压力的影响研究

Study on the Impact of Drilling on Pore Pressure in Deepwater Formations with Natural Gas Hydrates

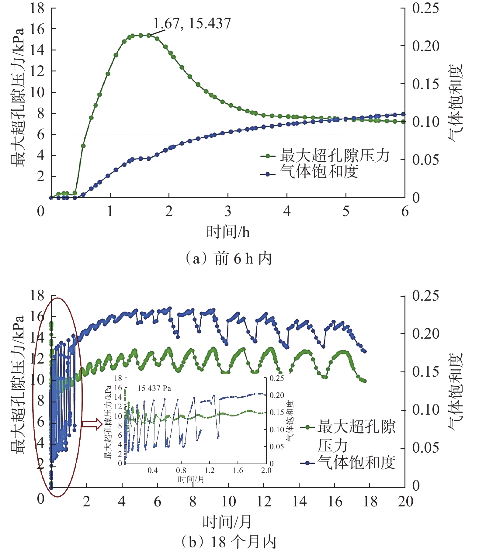
  • 摘要: 为解决深水含天然气水合物地层的钻井安全问题,开展了钻井对含天然气水合物地层孔隙压力的影响研究。基于井筒与地层热传导理论,建立了考虑甲烷溶解度的超孔隙压力计算模型,通过TOUGH+HYDRATE程序(T+H程序)验证了模型的精度和可靠性,通过分析案例研究了初始天然气水合物饱和度、初始孔隙压力和初始渗透率对超孔隙压力的影响规律。通过T+H程序,探究了含天然气水合物地层在井筒温度变化下的孔隙压力演变特征,分析了井筒温度对地层超孔隙压力的影响机制。研究结果表明,超孔隙压力的变化趋势与气体饱和度发展高度一致;井筒温度越高,超孔隙压力所引发风险的时长与波及范围越大,采取相应隔热措施十分必要。研究结果可为天然气水合物分解风险预测与量化分析提供科学依据,对深海工程建设的风险评估和防治具有指导意义。

     

    Abstract: To address the safety issues of drilling in deepwater formations with natural gas hydrates, the influence of drilling on pore pressure in formations with natural gas hydrates was studied. Based on the wellbore-formation heat transfer theory, an excess pore pressure calculation model incorporating methane solubility was established, and the accuracy and reliability of the model were verified using the TOUGH+HYDRATE (T+H) program. Case studies were conducted to analyze the influence law of initial natural gas hydrate saturation, initial pore pressure, and initial permeability on excess pore pressure. Through the T+H programs, the evolution characteristics of pore pressure in formations with natural gas hydrates under wellbore temperature variations were investigated, and the influence mechanism of wellbore temperature on the formation excess pore pressure was analyzed. The results indicate that the trend of excess pore pressure changes is highly consistent with the development of gas saturation. Moreover, the higher the wellbore temperature, the longer the risk duration and the wider the affected range associated with excess pore pressure, making it essential to implement appropriate thermal insulation measures. The research findings can provide a scientific basis for predicting and quantitatively analyzing the decomposition risks of natural gas hydrate, and offer guidance for risk assessment and mitigation strategies in deepwater engineering projects.

     

/

返回文章
返回