基于遗传算法的丛式井平台部署优化研究

Optimization Study of Cluster Well Platform Deployment Based on Genetic Algorithm

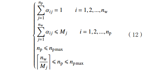
  • 摘要: 丛式井钻井平台位置优化是油田开发前需要关注的重要问题,在应用枚举法、动态聚类法等方法进行平台位置优化时,要依靠经验或方法本身存在一定局限性。为此,以横向靶前位移最小和总投资费用最小为目标,建立了钻完井费用模型、采油工程费用模型、地面建设费用模型和维护费用模型的平台总投资规划模型,采用双权值法对平台位置和靶点坐标进行优化分配,并基于Python语言的遗传算法进行平台位置规划部署。应用大庆油田某区块44个靶点的坐标数据,进行了平台位置优化设计,结果表明,以横向靶前位移最小为优选目标的平台总投资规划模型,可以快速地优化钻井平台位置,给出平台位置范围和靶点分配,并可以根据不同地形选取合适的平台位置和靶点坐标,人为因素影响较小,可以很好地解决丛式井平台部署问题,对其他区块平台部署有很好的借鉴意义。

     

    Abstract: The location optimization of cluster well drilling platforms is an important issue that needs to be focused on before oilfield development. Relying on experience or methods themselves has certain limitations when the enumeration method and dynamic clustering method are used to optimize platform location. To this end, the total platform investment planning model was established with the goal of minimum lateral displacement in front of target points and minimum total investment cost, including the drilling and completion cost model, production engineering cost model, surface construction cost model, and maintenance cost model. The platform location and target point coordinates were optimally allocated by using double weight method. A genetic algorithm based on Python language was used to plan the platform location deployment. The coordinate data of 44 target points in a block of Daqing Oilfield was used for platform location optimization design. The results show that the total platform investment planning model with the minimum lateral displacement in front of target points as the optimal objective can optimize the location of the drilling platform quickly, provide the platform location range, and allocate the target points. It can also select the appropriate platform location and target point coordinates according to different terrains with less influence by human factors, and can solve the problem of cluster well platform deployment. It has a good reference for platform deployment of other blocks.

     

/

返回文章
返回