低渗透稠油油藏CO2压驱提高采收率机理及规律研究

Mechanism and Law of CO2 Pressure Flooding in Enhancing Oil Recovery in Low-Permeability Heavy Oil Reservoirs

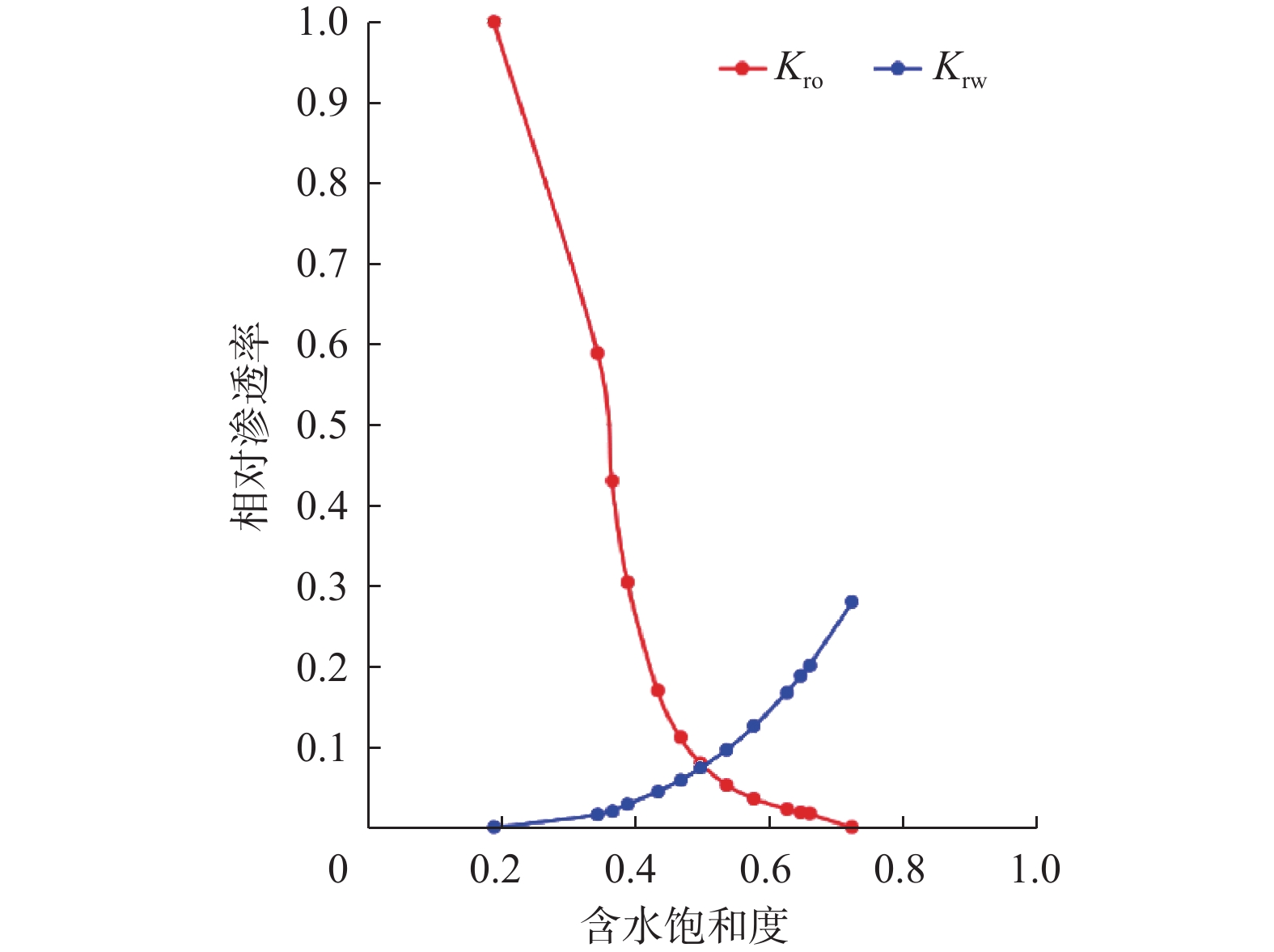
  • 摘要: 为明确低渗透稠油油藏CO2压驱开采机理及开发效果,利用相态模拟技术分析了CO2对稠油的作用机理。基于有限元离散法,建立了裂缝扩展渗流场−应力场耦合模型,分析了注入压力对裂缝扩展行为的影响。基于裂缝生成模拟结果,建立了考虑CO2复合压驱后形成复杂裂缝的数值模型,进行了油藏压后生产模拟,形成了基于油藏动态参数的稠油油藏CO2压驱数值模拟方法,分析了CO2压驱过程中的裂缝扩展规律,优化了CO2压驱工艺参数。模拟结果表明,CO2压驱的主要作用机理包括降低原油黏度、膨胀原油、增强原油流动性、在注入井附近造缝提高CO2注入能力及增加地层压力。CO2具有较好的增能效果,CO2运移受储层非均质性影响严重,气体超覆作用导致注入的CO2易在储层上部位聚集,上部位原油降黏效果更为显著。通过优化稠油CO2压驱工艺参数,建议压驱注入压力控制在40~50 MPa。该研究结果对稠油油藏CO2压驱设计及现场应用具有一定的指导作用。

     

    Abstract: In order to clarify the production mechanism and development effect of CO2 pressure flooding in low-permeability heavy oil reservoirs, the influencing mechanisms of CO2 on heavy oil were analyzed by using phase simulation technology. Based on the finite element discrete method, the coupling model of the seepage field and stress field of fracture propagation was established, and the influence of injection pressure on fracture propagation behavior was analyzed. According to the simulation results of fracture generation, a numerical model considering the formation of complex fractures after CO2 combined pressure flooding was established, and the reservoir production after pressure flooding was simulated. A numerical simulation method of CO2 pressure flooding for heavy oil reservoirs was developed based on dynamic reservoir parameters. The law of fracture propagation during CO2 pressure flooding was analyzed, and the technological parameters of CO2 pressure flooding were optimized. The simulation results show that the main influencing mechanisms of CO2 pressure flooding include reducing crude oil viscosity, expanding crude oil, enhancing crude oil fluidity, fracturing near injection wells to improve CO2 injection capacity, and increasing formation pressure. CO2 has a good energy enhancement effect, and CO2 migration is greatly affected by the heterogeneity of the reservoir. Gas overlap leads to the accumulation of injected CO2 in the upper part of the reservoir, and the crude oil viscosity reduction effect in the upper part of the reservoir is more significant. By optimizing the technological parameters of CO2 pressure flooding for heavy oil, it is suggested that the injection pressure of pressure flooding should be controlled at 40–50 MPa. The research results can guide the design and field application of CO2 pressure flooding in heavy oil reservoirs.

     

/

返回文章
返回