小尺度水平井钻柱动力学实验台架研制及应用

Fabrication and Application of Drill String Dynamics Experiment Bench for Small-Scale Horizontal Wells

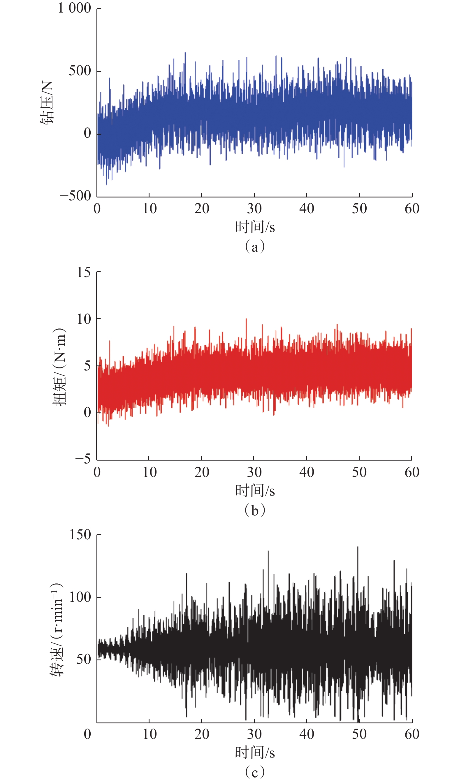
  • 摘要: 水平井钻井过程中钻头与钻柱的运动规律非常复杂,通过现场测试研究钻头与钻柱振动的方法成本高,无法准确解耦各因素,且数据采样率低,不能进行系统分析。因此,以物理相似为基础,设计了一套基于微钻头−钻柱−岩石的小尺度水平井钻柱动力学模拟实验台架;在钻柱上设计分段套管,模拟套管对钻柱的约束;为更加真实反应钻头与岩石互作用对钻杆及钻头振动的影响,设计微型PDC钻头进行模拟破岩;开展了水平井钻柱室内试验研究,分析了钻柱系统的耦合振动、转速及钻压对钻柱系统振动的影响规律。结果表明:钻头的轴向振动对钻头的扭转振动有较大的影响,且当钻柱发生扭转振动时,其功率谱密度明显高于匀速转动下钻头的功率谱密度;随着转速增大,钻头和钻柱的横向振动加速度也随之增大,钻头扭转振动在主频上的振动幅值也随之增大;随着钻压增大,钻头粘滑振动和横向振动加剧,但对轴向振动的影响不明显。

     

    Abstract: In the process of horizontal well drilling, the motion law of the drill bit and the drill string is very complex. The cost of studies by conducting site tests for the vibration of the drill bit and the drill string is high, which makes it difficult to accurately decouple various factors. In addition, the data sampling rate is low, hindering the systematic analysis. Therefore, based on physical similarity, a drill string dynamics simulation experiment bench for small-scale horizontal wells was designed on the basis of micro drill bit, drill string, and rock. The segmented casing was designed on the drill string to simulate the constraint of casing on the drill string. In order to more truly reflect the impact of the interaction between drill bit and rock on drill pipe and drill bit vibration, a micro polycrystalline diamond compact (PDC) bit was designed to simulate rock breaking. Laboratory experiments of drill strings in horizontal wells were carried out to study the effect law of coupling vibration, rotational speed, and weight on bit (WOB) on the vibration of the drill string system. The results show that the axial vibration of the drill bit has a great influence on the torsional vibration of the drill bit. When the drill string is under torsional vibration, the power spectral density of the drill bit is obviously higher than that under constant rotation. With the increase in the rotation speed, the transverse vibration acceleration of the drill bit and drill string also increases, and the vibration amplitude of the drill bit under torsional vibration within the main frequency increases. With the increase in WOB, stick-slip vibration and transverse vibration of the drill bit are intensified, but the axial vibration is not significantly affected.

     

/

返回文章
返回