深水固井循环阶段井筒温度场预测模型研究

Prediction Model of Wellbore Temperature Field during Deepwater Cementing Circulation Stage

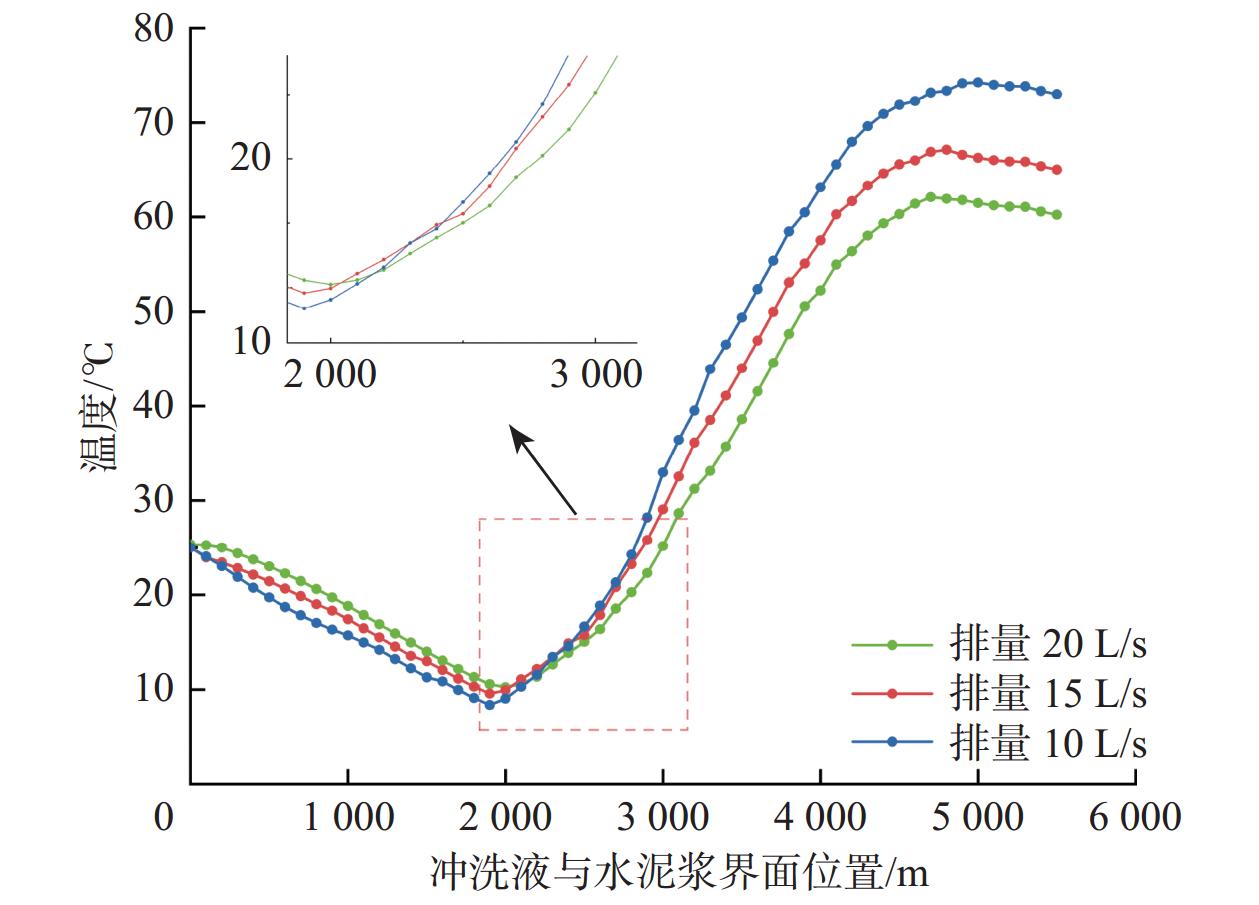
  • 摘要: 准确预测固井循环阶段井筒温度场有助于水泥浆性能参数的设计和井筒压力的计算,为此,基于井筒流动机理和传热学理论,考虑不同区域差异对传热过程的影响和不同流体热力学参数差异及其随井深变化的特点,结合流体界面位置描述方程,建立了适用于深水固井循环阶段的井筒温度场预测模型。利用2口井的实测数据对模型进行了验证,并进行了关键因素的影响规律分析。结果表明:注入水泥浆之前,钻井液应循环2~4周,以降低注入过程中循环时间改变对井底循环温度的影响;注入水泥浆过程中,排量越大,周围环境的升温或降温作用越不明显;计算过程中,若不考虑温度对比热容的影响,则预测的井底循环温度会偏高2~4 ℃;水泥浆密度对温度的影响规律与传热方向有关。研究结果对深水固井具有一定的指导作用。

     

    Abstract: Accurate prediction of the wellbore temperature field during the cementing circulation stage contributes to the design of cement slurry performance parameters and the calculation of wellbore pressure. Therefore, based on the wellbore flow mechanism and heat transfer theory, the influence of different regional differences on the heat transfer process was considered, and the discrepancy of different fluid thermodynamic parameters and their characteristics of variation with well depth were analyzed. Combined with the fluid interface position description equation, a set of wellbore temperature field prediction models suitable for the deepwater cementing circulation stage was established. The model was verified by the measured data from two wells, and the key influencing factors were analyzed. The results show that the drilling fluid should be circulated for 2~4 cycles prior to cement slurry injection, so as to reduce the impact of circulation time changes on the bottom hole circulating temperature (BHCT) during the injection. During the cement slurry injection process, larger flow rate causes less obvious warming or cooling of the surrounding environment. If the influence of temperature on specific heat capacity is not considered in the calculation process, it is predicted that the BHCT will be 2~4 °C higher. The influence of cement slurry density on temperature is related to the direction of heat transfer. The research results can be used to guide deepwater cementing.

     

/

返回文章
返回