超深井控温钻井隔热涂层参数影响机制研究

Research on the Influence Mechanism of Heat-Insulating Coating Parameters in Temperature-Controlled Drilling of Ultra-Deep Well

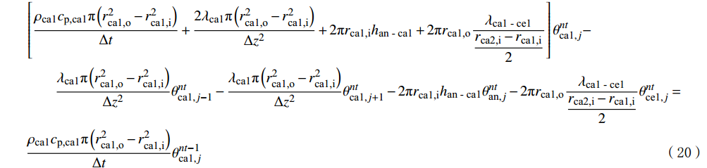
  • 摘要: 为揭示隔热涂层对超深井井筒温度场的影响规律,针对隔热涂层与钻杆的导热特点,采用传热热阻形式计算钻杆的综合传热系数,构建了考虑钻杆内隔热涂层影响的超深井井筒–地层瞬态传热模型,并采用有限差分法对模型进行离散,利用高斯–赛德尔算法进行迭代求解。通过理论分析和现场数据验证了模型的准确性。研究发现,钻杆内隔热涂层的导热系数对井底循环温度影响显著,随着导热系数减小,井筒环空温度迅速降低,出口温度升高;隔热涂层的厚度和长度对井筒温度也有重要影响,隔热涂层厚度越大,井底循环温度越低。这些发现为超深井钻井过程中井筒温度的调控和隔热钻杆参数的优选提供了重要理论依据。

     

    Abstract: To reveal the influence of the heat-insulating coating on the wellbore temperature field of ultra-deep wells, the comprehensive heat transfer coefficient of the drill pipe was calculated in the form of heat transfer resistance according to the thermal conductivity characteristics of the heat-insulating coating and the drill pipe. A transient heat transfer model of the wellbore-formation of the ultra-deep well considering the heat-insulating coating inside the drill pipe was developed. The model was discretized by the finite difference method and solved iteratively by the Gauss-Seidel algorithm. The accuracy of the model was validated through theoretical analysis and field data. The results show that the thermal conductivity coefficient of the heat-insulating coating inside the drill pipe significantly affects the bottom hole circulating temperature. A decrease in conductivity coefficient leads to a rapid drop in wellbore annular temperature and an increase in exit temperature. The thickness and length of the heat-insulating coating also greatly impact wellbore temperature, with greater thickness resulting in a lower bottom hole circulating temperature. These findings offer essential theoretical support for wellbore temperature control and optimization of heat-insulating drill pipe parameters during ultra-deep well drilling.

     

/

返回文章
返回