井深随钻测量误差校正与井眼位置不确定性计算方法

Well Depth Measured with MWD Error Correction and Calculation of Borehole Position Uncertainty

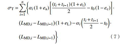
  • 摘要: 深井和超深井钻井过程中井下温度高、井内钻具承受的拉力大,导致随钻测量的井深误差较大。为此,考虑不同井深处井内温度、热膨胀系数、钻具轴向力和钻具规格等因素的影响,在测点处对井内钻具分段,结合井下温度随钻测量结果和井内钻具受力分析结果,建立了随钻测量井深的热膨胀校正模型和弹性拉伸校正模型,以及计算热膨胀校正误差限和弹性拉伸校正误差限的模型,并给出了随钻测量井深热膨胀和弹性拉伸校正后的井眼位置不确定性计算方法。实例计算表明,超深井钻井过程中由热膨胀和弹性拉伸导致的井内钻具伸长量可达10 m以上;随钻测量井深进行热膨胀和弹性拉伸校正后,可以显著减小测点垂深误差和误差椭球的大小。研究结果为提高井深随钻测量精度与科学计算井眼位置不确定性提供了理论依据。

     

    Abstract: When drilling deep and ultra-deep wells, the high downhole temperature and the large tensile force on the drilling tools in the well result in a large well depth error measured with measurement with drilling (MWD). Therefore, the influence of downhole temperature, thermal expansion coefficient, axial force of drilling tools, and specifications of drilling tools in different well depths was considered, and the drilling tools in the well were segmented at the measurement point. According to the results of the downhole temperature measured with MWD and the force analysis of drilling tools in the well, models of thermal expansion and elastic tension correction for the well depth measured with MWD were established. In addition, the models for the calculation of the error limits of the thermal expansion correction and the elastic tension correction, as well as the calculation method of wellbore position uncertainty after correcting thermal expansion and elastic tension errors of measured well depth with MWD were given. The example calculations demonstrate that during the drilling of ultra-deep wells, the elongation of drilling tools in the well caused by thermal expansion and elastic tension can reach more than 10 m. By correcting the thermal expansion and elastic tension of the measured depth with MWD, the vertical depth errors and the size of the error ellipsoid of the measurement points can be significantly reduced. The results provide a theoretical basis for improving the accuracy of well depth measured with MWD and scientific calculation of wellbore position uncertainty.

     

/

返回文章
返回