卡瓦下座用表面改性可溶性镁合金耐腐蚀性能研究

Study on the Corrosion Resistance of Surface-Modified Soluble Magnesium Alloy for Slip Base

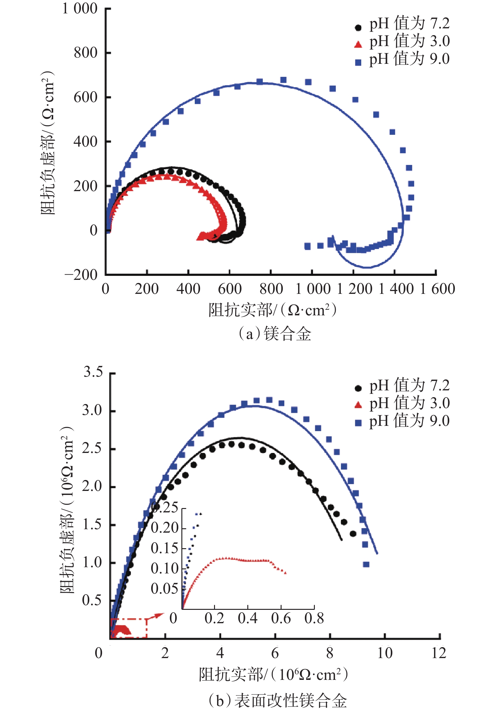
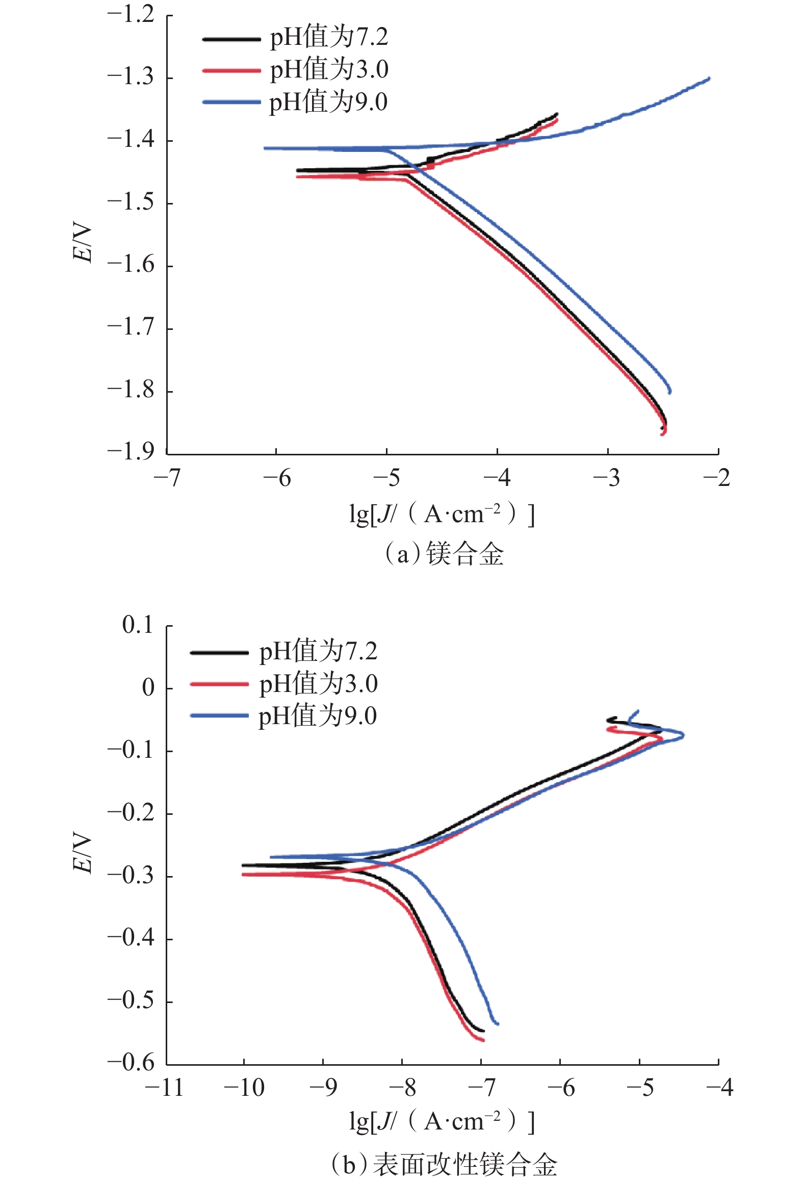
  • 摘要: 采用可溶性镁合金制作的节流器卡瓦下座,在井下服役过程中常因其降解速率过快而引起节流器失效,为此对可溶性镁合金表面进行了改性。为了解可溶性镁合金表面改性后的耐腐蚀性能,采用扫描电子显微镜观察了表面改性镁合金腐蚀前后表面的微观结构,采用X射线衍射仪和红外光谱仪分析了表面改性镁合金表腐蚀前后的物相结构,通过电化学试验和浸泡失重试验评价了其在pH值为3.0,7.2和9.0模拟井液中的耐腐蚀性能。与镁合金相比,在不同pH值的模拟井液中,表面改性镁合金的腐蚀电位均正移了约1.1 V,腐蚀电流密度均降低了3个数量级,腐蚀速率均降低了约3 mm/a;与pH值为7.2的模拟井液相比,在pH值为3.0的模拟井液中,表面改性镁合金的电荷转移电阻从9.13×106 Ω·cm2降至1.91×106 Ω·cm2。研究表明,与镁合金相比,表面改性镁合金在pH值为3.0,7.2和9.0模拟井液中的耐腐蚀性能均显著提高,但其在酸性模拟井液中的耐腐蚀性能大程度降低,易降解。对表面改性镁合金卡瓦下座节流器进行了现场试验,试验表明,表面改性镁合金卡瓦下座的承压性能、耐腐蚀性能满足要求,且易于打捞。研究和现场试验结果均表明,表面改性镁合金的耐腐蚀性能满足可溶性卡瓦下座的要求,为其应用于井下节流器提供了依据。

     

    Abstract: The throttling slip base made of soluble magnesium alloy often fails due to its rapid degradation rate during downhole service. Therefore, the surface of soluble magnesium alloy was modified to solve the problem. In order to understand the corrosion resistance of the surface-modified soluble magnesium alloy, the microstructure of surface-modified magnesium alloy before and after corrosion was observed with scanning electron microscopy(SEM). The phase structure of surface-modified magnesium alloy before and after surface corrosion was analyzed by X-ray diffraction (XRD) and infrared spectrometer. The corrosion resistance of the alloy in simulated well fluids at pH 3.0, 7.2, and 9.0 was evaluated by electrochemical and immersion tests. Compared with magnesium alloy, the corrosion potential of surface-modified magnesium alloy was positively shifted by about 1.1 V; the corrosion current density was reduced by three orders of magnitude, and the corrosion rate was reduced by about 3 mm/a in the simulated well fluids at different pH values. Compared with the simulated well fluid at pH 7.2, the charge transfer resistance of the surface-modified magnesium alloy decreased from 9.13×106 Ω·cm2 to 1.91×106 Ω·cm2 in the simulated well fluid at pH 3.0. The results show that compared with magnesium alloy, the corrosion resistance of surface-modified magnesium alloy in simulated well fluids at pH 3.0, 7.2, and 9.0 is significantly improved, while the corrosion resistance of surface-modified magnesium alloy in acidic simulated well fluids is greatly reduced and easy to degrade. The field test of the throttling slip base of the surface-modified magnesium alloy shows that the pressure performance and corrosion resistance of the slip base meet the requirements, and it is easy to be salvaged. The research and field test show that the corrosion resistance of the surface-modified magnesium alloy meets the requirements of soluble slip base, which provides a basis for its application in downhole throttling.

     

/

返回文章
返回