控压固井注入阶段流体密度和流变性分段预测方法

A Segmented Prediction Method for Fluid Density and Rheology During Managed Pressure Cementing Injection Stage

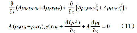
  • 摘要: 为解决控压固井注入阶段入井流体密度及流变性预测难的问题,设计了流体密度和流变性测量试验,基于试验结果优选了流变模式,建立了考虑不同流体性能差异的温压耦合模型,提出了流体密度和流变参数的分段预测方法。以川北地区X井为例进行了模拟计算,模拟结果表明:采用分段方法可将赫巴模式、四参数模式等多种流变模式作为优选对象,能更精确地描述流体的流变性;控压固井注入阶段采用常规计算方法,井口回压值偏低,大大增加了地层气侵风险,且不同方法预测的环空温度场相差不大;温度和压力的耦合作用对于流体密度和流变性及其变化规律的影响较大,也会对环空浆柱结构的设计及固井施工效果产生重要影响。研究结果为控压固井设计施工提供了理论依据。

     

    Abstract: To solve the problem of difficult prediction of fluid density and rheology during the managed pressure cementing (MPC) injection stage, the measurement experiments of fluid density and rheology were designed, and the rheological model was optimized based on the experimental results. Then, a temperature-pressure coupling model was established considering the difference in fluid properties, and a segmented prediction method for fluid density and rheology was proposed. Finally, the Well X in northern Sichuan was taken as an example, and the simulation results show that the segmented method can describe the rheology of the fluid more accurately by taking the Herschel-Buckley model, the four-parameter model, and other rheological models as the preferred objects. During the MPC injection stage, the conventional calculation method can make the wellhead back pressure value low, which will greatly increase the risk of formation gas invasion. Meanwhile, the annulus temperature field predicted by different methods has little difference. The coupling effect of temperature and pressure has a great influence on the density and rheology of fluid and their variation law, which will also greatly affect the design of the annular slurry column structure and cementing effect. The research results provide a theoretical basis for the design and operation of MPC.

     

/

返回文章
返回