随钻方位侧向电阻率测井电极系设计及响应模拟

Electrode System Design and Response Simulation of Azimuthal Lateral Resistivity Logging While Drilling

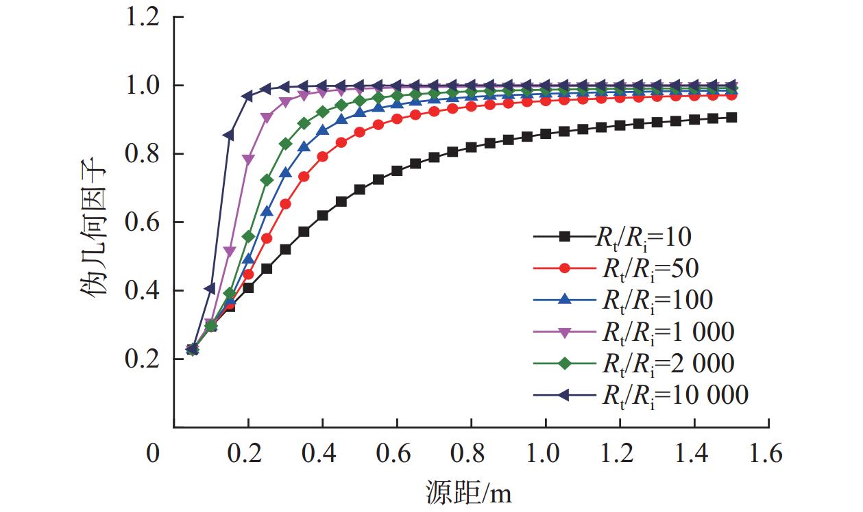
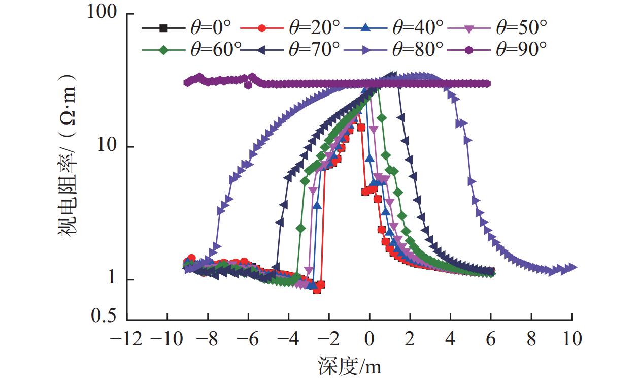
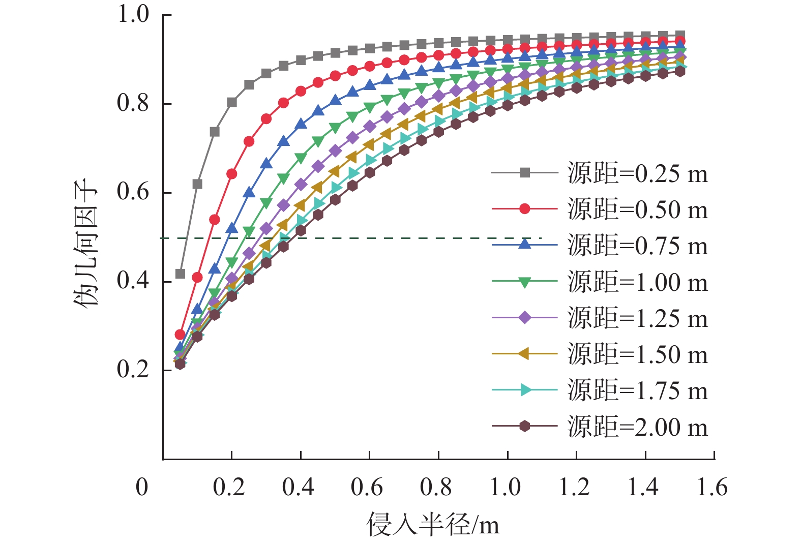
  • 摘要: 高阻地层水平井电缆施工风险大,测井数据缺失严重,制约了精准地质导向施工和优质储层钻遇。为此,提出了一种基于非接触耦合原理的新型随钻方位侧向电阻率测井电极系,该电极系具有径向、纵向和周向探测能力。利用三维有限元模拟方法,考察了井眼尺寸、冲洗带电阻率、地层倾角、层厚及围岩电阻率对探测结果的影响,确定了电极系尺寸和探测特性,并建立了环境影响校正模版。模拟结果表明,螺绕环激励式随钻方位侧向电阻率仪器探测深度较浅,总体小于电缆式侧向仪器,但随钻过程中受侵入影响较小,能够满足随钻测井需求,有较好的纵向分层能力,高阻地层条件下也可以分辨0.5 m薄层;借助四方位测量能较好识别高阻、低阻异常体位置并确定地层倾向。研究结果对随钻方位侧向测井仪结构参数设计及高阻储层勘探具有重要的指导意义。

     

    Abstract: Wireline logging in horizontal wells in high resistivity formations faces high risk,and its logging data are subject to serious lackage, which restricts accurate geosteering drilling and high-quality reservoir identification. Therefore, a novel electrode system of azimuthal lateral resistivity logging while drilling based on the non-contact coupling principle was proposed, with radial, longitudinal, and circumferential detection abilities. The effects of wellbore size, flushed zone resistivity, formation inclination, layer thickness, and surrounding rock resistivity on the detection results were investigated by using the three-dimensional finite element simulation method. The electrode system size and detection characteristics were determined, and the ambient impact calibration diagram was established. The simulation results show that the toroidal coil excitation instrument for azimuthal lateral resistivity logging while drilling has a shallow detection depth, which is generally less than that of the cable-type instrument, but it is less affected by intrusion during the drilling process. It can meet the needs of logging while drilling, has good longitudinal zone identification ability, and can define 0.5 m thin layers under the condition of high resistivity formation. With the help of quad azimuthal measurement, the position of high and low resistivity abnormal bodies can be well identified, and the formation inclination can be determined. The research results have important guiding significance for the structural parameter design of instruments for azimuthal lateral logging while drilling and exploring for high resistivity reservoirs.

     

/

返回文章
返回