三轴各向异性层状介质磁偶极子源电磁场递推算法及应用

Recursive Algorithm for Electromagnetic Fields from Magnetic Dipole in Layered Triaxial Anisotropic Medium and Its Application

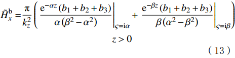
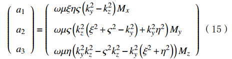
  • 摘要: 为快速、精确模拟复杂三轴各向异性介质中的电磁波测井响应规律,研究了一种适用于水平层状地层的磁偶极子源电磁场伪解析递推算法。该算法通过双重傅里叶变换,将空间域的三维电磁场正演转换为一系列对一维谱域场的求解,将地层上、下界面位置引入谱域电磁场通解公式,克服了传统方法存在的数值溢出问题;进一步利用传播矩阵方法,递推获得各个地层界面处的幅度系数;针对积分核函数存在的强烈振荡问题,提出了一种双重正余弦数值滤波积分方法,实现了谱域到空间域电磁场的准确、快速转换。模拟结果表明:三轴各向异性导致电测井响应更为复杂,传统各向异性电测井解释模型不再适用。新递推算法是复杂各向异性储层测井响应分析的基础,也为电性参数准确提取和精准地质导向提供了正演手段。

     

    Abstract: In order to quickly and accurately simulate the response of electromagnetic (EM) wave logging in complex triaxial anisotropic media, a pseudo-analytical recursive algorithm for the EM fields generated by magnetic dipole was developed, which was suitable for horizontal layered strata. By using the dual Fourier transform technique, the algorithm transformed the forward modeling of the three-dimensional EM field into a series of solutions of a one-dimensional spectral field. The upper and lower boundary positions were introduced into the general expressions of the spectral field, which avoided the numerical overflow problem in traditional algorithms. The propagation matrix method was then adopted to recursively derive the amplitude coefficients at each boundary. To handle the strong oscillation of the integral kernel function, a dual sine/cosine numerical filtering integral technique was developed to achieve the accurate and fast conversion between EMs from the spectral domain to the spatial domain. The simulation results show that the existence of triaxial anisotropy makes the electrical logging response more complex, and the traditional anisotropic electrical logging interpretation model is no longer applicable. The new recursive algorithm is the basis of complex anisotropic reservoir logging response analysis and provides a forward modeling method for accurate extraction of electrical parameters and accurate geosteering.

     

/

返回文章
返回