测井仪被动式热管理系统室温冷却研究

Study on Room Temperature Cooling of Passive Thermal Management System for Logging Tool

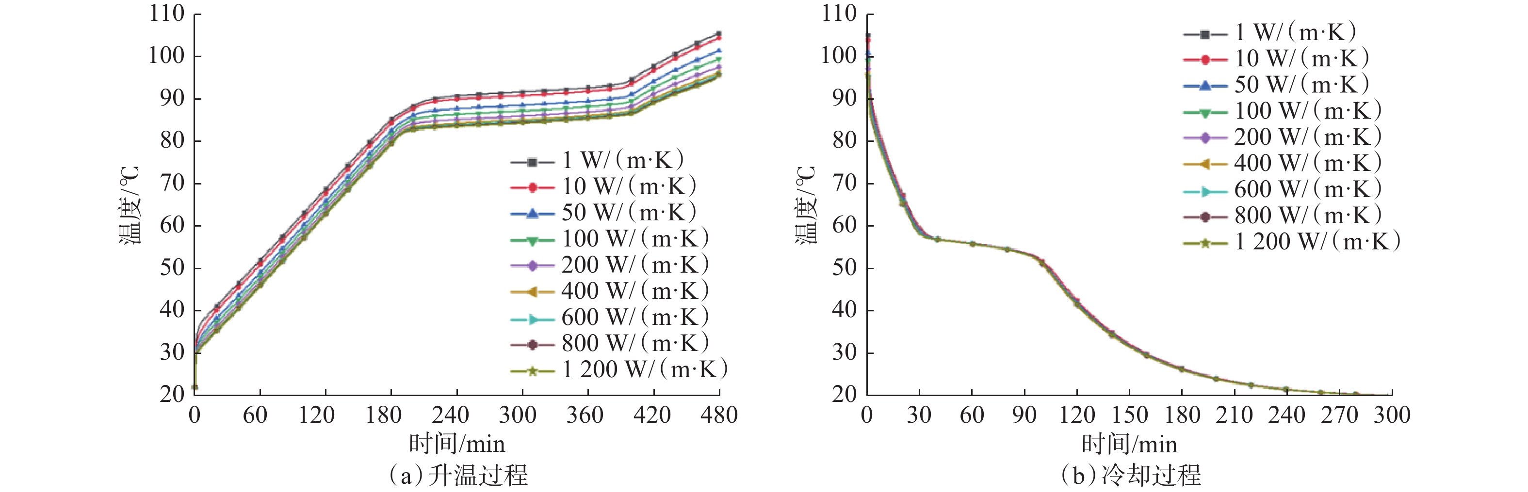
  • 摘要: 被动式热管理系统能使测井仪内部电子器件的温度在工作时间内不超过耐温指标,然而热管理系统优异的隔热性能导致测井仪需要较长时间冷却,才能投入下一次工作。为此,提出了一种针对测井仪的室温冷却方案。通过将电路骨架从保温瓶内抽出置于空气中实现快速冷却,同时设置芯片保护壳避免内部电子器件与空气直接接触,能够避免较高温差所产生的热应力及水蒸气液化对内部电子器件的损坏,实现快速冷却。模拟和试验验证了该方案的可行性,同时模拟探究了不同因素对冷却方案效果的影响,确定了最佳的冷却方案。研究结果表明,所提出的室温冷却方案可以解决测井仪被动式热管理系统冷却散热的问题,提高测井工作的效率。

     

    Abstract: Passive thermal management systems can prevent the temperature of electron devices inside the logging tool from exceeding the tolerance during operating hours. The excellent insulation performance of thermal management systems makes the logging tool take relative long time to cool down for the next operation. Therefore, a room-temperature cooling solution for the logging tool was proposed, achieving rapid cooling by withdrawing the circuit skeleton from the thermos bottle and releasing it into the air. A chip protective shell was set up to avoid direct contact between the internal electron devices and the air, and thus the logging tool could achieve rapid cooling while avoiding the thermal stress caused by the high-temperature difference and the damage to the internal electron devices by water vapor liquefaction. The simulation and experiment verified the feasibility of the scheme. At the same time, the influence of different factors on the effect of cooling schemes was simulated, and the best cooling scheme was determined. The results demonstrate that the proposed room temperature cooling scheme effectively addresses the cooling and heat dissipation challenges in passive thermal management systems for logging tools, thereby enhancing working efficiency.

     

/

返回文章
返回