超深层高压油气藏天然气偏差系数计算新模型

A New Model for Calculating Deviation Factor of Natural Gas in Ultra-Deep Oil and Gas Reservoirs under High Pressure

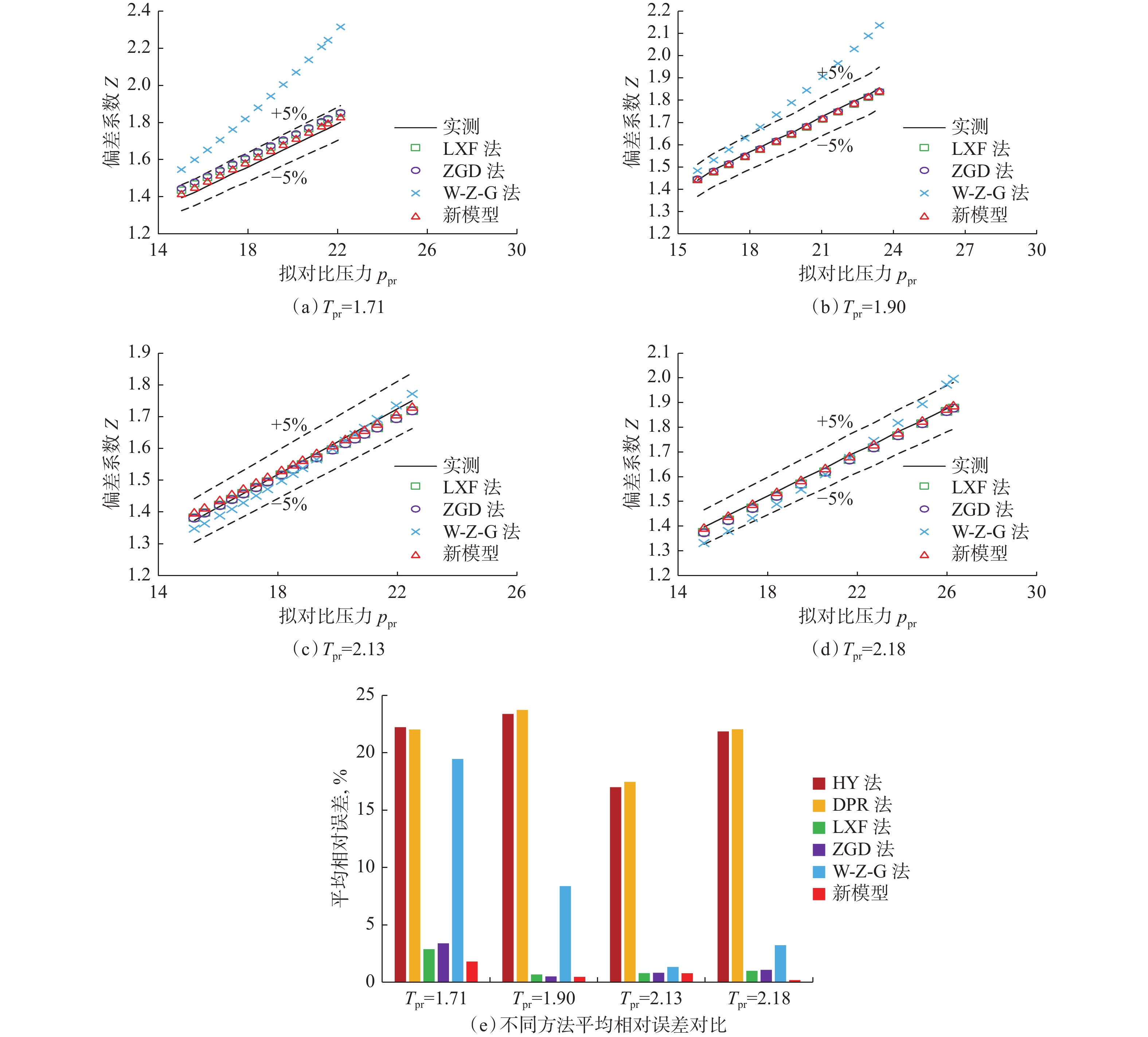
  • 摘要: 为适应我国深层、超深层高压油气藏钻采需要,利用高温高压PVT特性测量系统,开展了高压条件下不同组分天然气样品的PVT特性测量试验,试验结果表明,高压下天然气偏差系数随压力升高大致呈线性增大,随温度升高而减小,但总体差别较小。基于1443组Standing-Katz图版拟合数据、试验测量数据和公共试验数据,建立了大温度压力范围的天然气偏差系数试验数据库。采用多元非线性拟合数值方法,对现有模型进行改进,建立了计算超深层高压油气藏天然气偏差系数的新模型。将该模型与常用的HY法、DPR法、LXF法等方法进行了对比,误差分析表明,该模型在高压段的相对误差在2%以内,计算精度高于HY法、DPR法、LXF法等方法,满足工程要求,可以为超深层高压油气藏安全高效钻采提供指导与帮助。

     

    Abstract: In order to meet the drilling and production requirements of deep and ultra-deep oil and gas reservoirs under high pressure in China, PVT characteristic measurement experiments of natural gas samples with different components under high-pressure conditions were carried out by using high-temperature and high-pressure PVT characteristic measurement system. The experiments show that the deviation factor of natural gas under high pressure increases linearly with the increase in pressure and decreases with the increase in temperature, but the overall difference is small. At the same time, an experimental database of the deviation factor of natural gas in a large temperature and pressure range is established based on 1443 sets of data including Standing-Katz chart fitting data, experimental measurement data, and public experimental data. Through the numerical method of multivariate nonlinear fitting, the existing models are improved, and a new model for calculating the deviation factor of natural gas of ultra-deep oil and gas reservoirs under high pressure is established. The predicted results of the model are compared with those of HY, DPR, LXF, and other common methods. The error analysis shows that the relative error of the model is less than 2% in the high-pressure section, and its calculation accuracy is higher than that of HY, DPR, LXF, and other methods, which meets the practical needs of engineering and can provide guidance and support for safe and efficient drilling and production of ultra-deep oil and gas reservoirs under high pressure.

     

/

返回文章
返回