可压性指数对压裂裂缝扩展规律的影响研究以南海LF油田为例

Effect of Fracability Index on Fracture Propagation: A Case Study of LF Oilfield in South China Sea

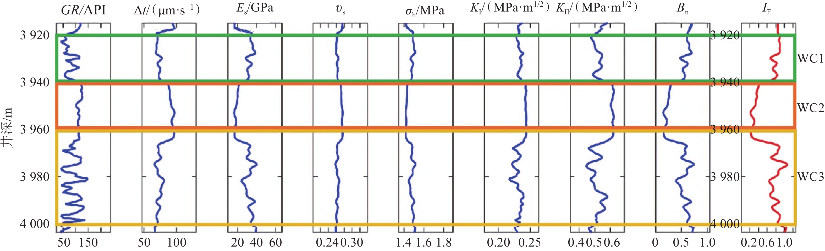
  • 摘要: 南海深层古近系油气资源丰富,但储层物性差、非均质性强,需通过水力压裂才能实现商业化开采。为探究可压性指数对压裂裂缝扩展规律的影响,以南海LF油田为研究对象,综合考虑储层岩石脆性及力学特征,建立了适用于南海LF油田的可压性指数计算模型,利用该模型计算出南海LF油田文昌组3个小层的可压性指数分别为0.75,0.45和0.92。选用南海LF油田不同可压性指数的露头岩样,利用真三轴水力压裂物理模拟试验装置,进行了压裂物理模拟试验。试验结果表明:文昌组3个小层的人工裂缝易在层理和天然裂缝发育位置起裂,在各射孔处并不是同时起裂;可压性指数越高越,越易形成形态复杂的人工裂缝。研究成果对评价海上低孔低渗油气藏可压裂性、优选甜点位置以及优化压裂方案具有重要的指导意义。

     

    Abstract: The South China Sea is rich in deep Paleogene oil and gas resources. However, due to the poor formation properties and strong heterogeneity of reservoirs, hydraulic fracturing is needed to realize commercial exploitation. In order to explore the effect of the fracability index on fracture propagation, the rock brittleness and mechanical characteristics of reservoirs in LF Oilfield in the South China Sea were comprehensively studied, and the fracability index calculation model suitable for the LF Oilfield in the South China Sea was established. The fracability indexes of the three sublayers of the Wenchang Formation in the target layer in LF Oilfield in the South China Sea were determined to be 0.75, 0.45, and 0.92 by the model, respectively. Outcrop rock samples with different fracability indexes of LF Oilfield in the South China Sea were selected, and the physical simulation test of hydraulic fracturing was carried out by using the physical simulation test device of true triaxial hydraulic fracturing. The test results show that the artificial fractures in the three sublayers of the Wenchang Formation in the target layer are easy to initiate at the position where bedding and natural fractures develop, but they do not initiate simultaneously at each perforation. As the fracability index is higher, complex fracture morphology will be more likely to form. The research results have important guiding significance for evaluating the fracability of low-porosity and low-permeability offshore oil and gas reservoirs, selecting the location of sweet spots, and optimizing the fracturing scheme.

     

/

返回文章
返回