南海深水高温高压条件下地层破裂压力的确定

Determination of Formation Fracture Pressure under High Temperature and High Pressure in Deep Water of the South China Sea

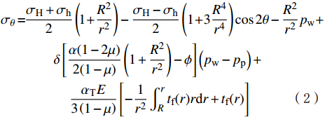
  • 摘要: 我国南海北部深水地层欠压实程度高,具有胶结弱、承压能力低等力学特性,同时由于存在温度场,地层与钻井液之间的热交换会产生附加应力场,导致深水钻井过程中极易发生井漏,严重影响钻井效率和固井质量,亟需明确温度场对附加应力的影响。为此,笔者以弹性力学为基础,采用数值模拟方法,建立了考虑温度影响的井周应力分析模型;在现有地层破裂压力模型基础上,综合考虑温度及时间的影响,确定了南海深水环境下的地层破裂压力动态变化规律。分析结果表明:井壁和地层的温度变化幅度随着钻井液循环时间增长而逐渐增大,热附加应力也随着钻井液循环时间增长逐渐增大,最大径向热应力在距井眼中轴线一定距离处,最大切向应力和最大垂向应力均在井壁处;井壁温度降低时,井壁收缩产生拉应力;井壁温度降低时,井周应力也随之降低,切向应力和垂向应力在井壁处的降低幅度最大,径向应力降低幅度最大处在距井眼中轴1.65倍井眼半径处;考虑温度变化影响时的破裂压力偏差远低于不考虑温度变化影响时。研究结果表明,温度变化对井周应力有影响,预测地层破裂压力时考虑温度的影响可以提高其预测精度,从而提高钻井液安全密度窗口的预测精度,可为南海深水安全高效钻井提供理论指导。

     

    Abstract: The deepwater strata in the northern South China Sea exhibit a high degree of under-compaction, weak cementation, low pressure-bearing capacity, and other mechanical characteristics. At the same time, due to the existence of a temperature field, the heat exchange between the formation and drilling fluid will produce an additional stress field, which will lead to lost circulation in the process of deepwater drilling and seriously affect the drilling efficiency and cementing quality. Therefore, it is urgent to clarify the influence of the temperature field on the additional stress. On the basis of elasticity, the numerical simulation method was used in this paper to establish an analytical model for periborehole stress with temperature considered. According to the existing formation fracture pressure model, the dynamic change law of formation fracture pressure in the deepwater environment of the South China Sea was determined by comprehensively considering the influence of temperature and time. The research results showed that a temperature change of the borehole wall and formation along with additional thermal stress gradually increased with the increase in the cycle time of the drilling fluid. Further, the maximum radial thermal stress was at a certain distance from the axis of the borehole, and the maximum tangential stress and the maximum vertical stress were at the borehole wall. When the temperature of the borehole wall decreased, the contraction of the borehole wall produced tensile stress and the periborehole stress decreased; the tangential stress and vertical stress decreased the most at the borehole wall, and the radial stress decreased the most at 1.65 times of the hole radius from the borehole axis. The deviation of fracture pressure considering the influence of temperature change was much lower than when not considering it. The research results show that temperature change has an impact on periborehole stress, and considering the influence of temperature can improve the prediction accuracy of formation fracture pressure, thus improving the prediction accuracy of the safety density window of the drilling fluid. This research can provide theoretical guidance for safe and efficient drilling in deepwater in the South China Sea.

     

/

返回文章
返回