慢速地层偶极声波远探测井眼成像发射频率优选

Emission Frequency Optimization of Borehole Imaging for Dipole Acoustic Remote Detection of Slow Formations

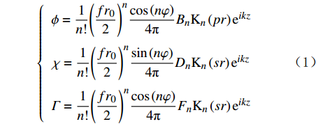
  • 摘要: 为了提高慢速地层偶极声波远探测丛式井邻井井眼成像的图像质量,优选了偶极声源的最佳发射频率。根据慢速地层中偶极辐射声场理论,计算偶极纵波辐射波能流和辐射指向性,分析它们随频率的变化规律,结合试验井测试和现场应用情况,确定适合浅层慢速地层邻井成像的偶极声源最佳激发频率为2.4 kHz。研究结果表明,在测井资料质量良好的情况下,采用该激发频率处理得到的邻井远探测成像图清晰可靠,对图中反射体进行识别,能够确定邻井相对测量井的距离和方位,利用此结果可以指导浅层丛式井邻井防碰。研究结果为开发过程中丛式井邻井防碰提供了新的技术手段。

     

    Abstract: In order to improve the quality of adjacent borehole imaging of cluster wells by dipole acoustic remote detection of slow formations, the optimal emission frequency of the dipole sonic source was determined. According to the theory of dipole radiation sound field in slow formations, the energy flow of radiation wave and the radiation directivity of dipole P-wave were calculated, and their change law with the frequency variation were analyzed. In combination with the tests in experimental wells and field application, the optimal excitation frequency of the dipole sonic source suitable for adjacent well imaging in shallow and slow formations was determined as 2.4 kHz. The results showed that with good logging data quality, the remote detection imaging map of adjacent wells obtained and processed by the excitation frequency was clear and reliable, and identifying the reflectors in the map could determine the distance and azimuth of adjacent wells to logging wells. The results can guide the anti-collision of adjacent wells in shallow cluster wells and provide a new technical method for the anti-collision of adjacent wells in cluster wells within development phase.

     

/

返回文章
返回