基于热传导时域积分的井下流量测量方法

Downhole Flow Rate Measurement Method Based on the Time Domain Integral of Heat Conduction

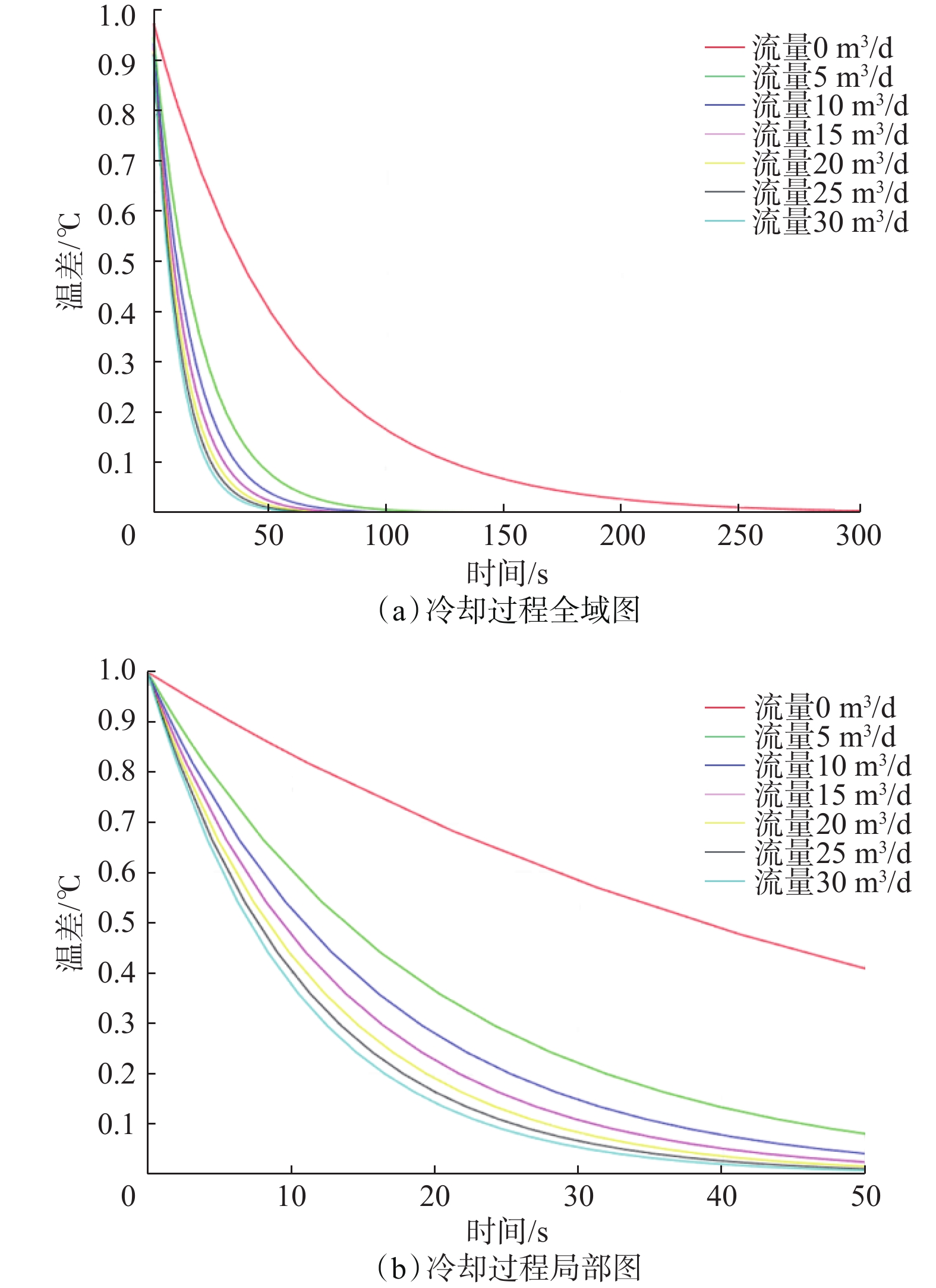
  • 摘要: 针对油田低产液生产井流量测量困难的问题,根据多相流体热力学理论,利用整个测量周期内探测器周围流体冲刷引起的热传导效应,提出了一种基于热传导时域积分的井下流量测量方法。首先,采用间歇式恒功率加热的方式,给探测器提供周期性能量;然后,采用积分法计算和分析了探测器内部温度在升温和降温过程中随外界流体流量变化的规律。理论分析与试验结果表明,时域积分面积与流量呈极好的相关性,尤其在低流量条件下具有较高的分辨率,该方法解决了传统涡轮流量计在流量较低情况下因涡轮无法启动导致失去检测能力的问题。基于热传导时域积分的井下流量测量方法,促进了油水两相流检测技术的发展,为低产液井流量测量提供了一种新的技术手段。

     

    Abstract: In light of the difficulties in measuring the flow rate of low-productivity producers in oil fields, the heat conduction effect caused by ambient fluid around the detector in the whole measurement cycle was adopted, a downhole flow rate measurement method based on time domain integral of heat transfer was put forward according to multiphase fluid thermodynamic theory. First, intermittent constant power heating was used to provide periodic energy to the detector. Then, an integral method was employed to calculate and analyze the variation of the internal temperature variation law of the detector with the external fluid flow during heating and cooling. The theoretical analysis and experimental study showed that the time domain integral area had an excellent correlation with the flow rate, and had high resolution under low flow rate condition. The problem that traditional turbine flowmeters lose their capability of detection as their turbines couldn’t be activated under low flow rate was solved with this method. The downhole flow rate measurement method based on the time domain integral of heat conduction has promoted the development of oil-water two-phase flow detection technology. It has provided a new technical means for flow rate measurement of low-productivity producers.

     

/

返回文章
返回