基于声波远探测的浅海软地层邻井井眼成像方法

Adjacent Borehole Imaging Method Based on Acoustic Remote Detection in Shallow Unconsolidated Formations

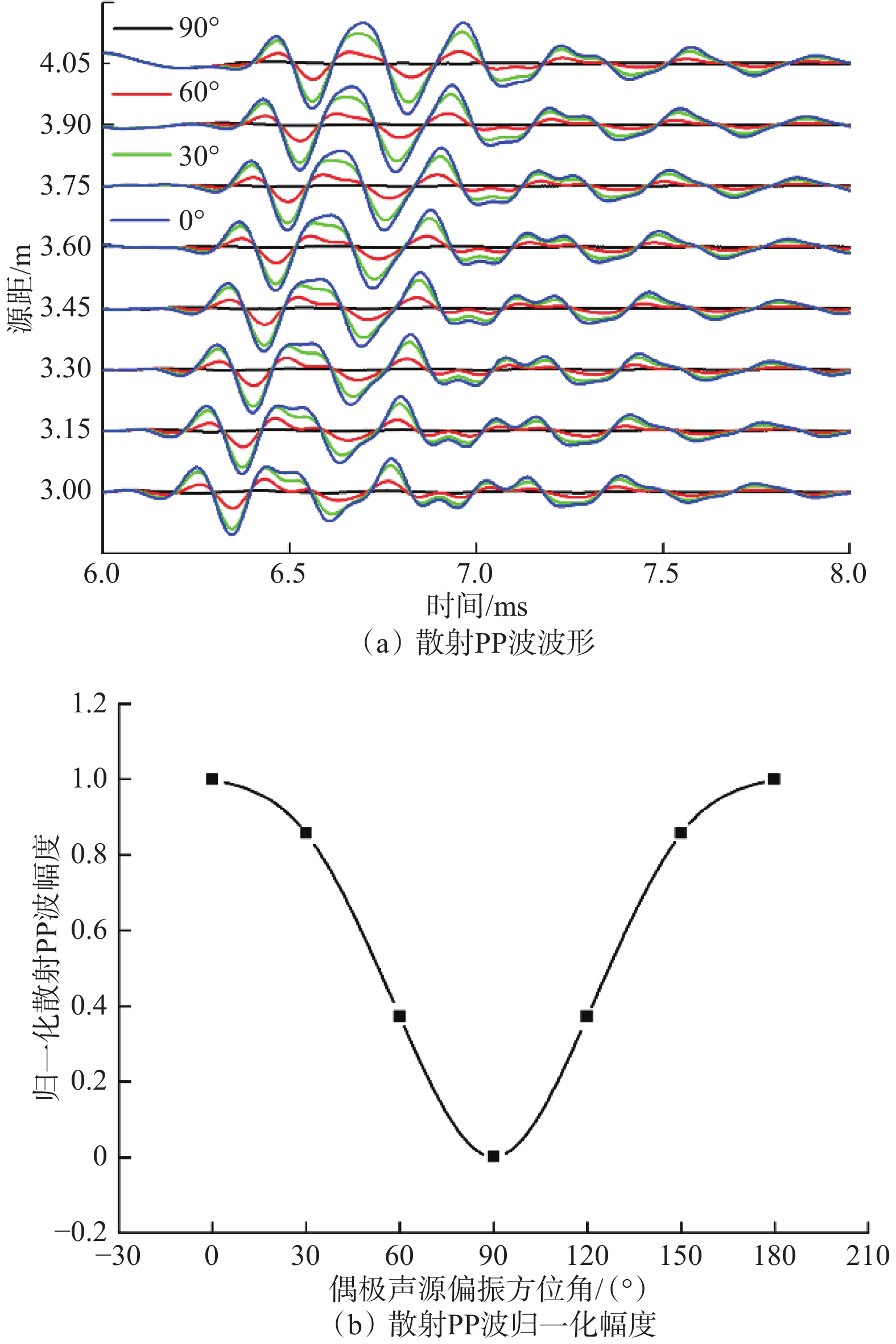
  • 摘要: 为满足超软地层钻井防碰与井眼轨迹描述的需要,基于声波远探测测井技术,提出了一种偶极纵波邻井井眼成像方法。首先,基于有限差分法模拟了井中偶极声源激发的邻井散射全波场,分析了不同类型散射波的幅度特征及方位特性;然后,分析了两井不共面对散射波幅度和到达时间的影响;最后,通过双井模型试验和现场实际测井数据,验证了偶极纵波邻井成像的可靠性。研究结果表明:偶极纵波相对于横波在超软地层邻井成像中更具优势;四分量旋转后成像最清晰的方位即为目标井方位;两井不共面也不会影响邻井成像。偶极纵波邻井井眼成像方法为浅海软地层钻井防碰和井眼轨迹描述提供了新的技术手段。

     

    Abstract: In order to prevent drilling collision in significantly unconsolidated formations and describe borehole trajectories, a dipole P-wave imaging method for adjacent boreholes was developed based on acoustic remote detection logging technology. First, scattered full-wave fields of adjacent wells that were excited by dipole acoustic sources from wells were simulated based on the finite difference method, and the amplitude and azimuth characteristics of different scattered waves were analyzed. Then, the influence of non-coplanar wells on the amplitude and arrival time of scattered waves was studied. Finally, the reliability of dipole P-wave imaging for adjacent wells was verified by a model test of two wells and actual logging data measured in the field. The results indicated that the dipole P-wave was superior to S-wave in adjacent well imaging in significantly unconsolidated formations, and the clearest azimuth after four-component rotation was the azimuth of the target well. In addition, adjacent well imaging was not affected by non-coplanar wells. It was shown by the study results that the dipole P-wave imaging method for adjacent boreholes can provide a new technical tool to prevent drilling collision in shallow unconsolidated formations and describe borehole trajectories.

     

/

返回文章
返回