混合偶极子远探测响应影响因素及探测特性分析

Analysis of Response Influencing Factors and Detection Characteristicsof Hybrid Dipole Remote Detection

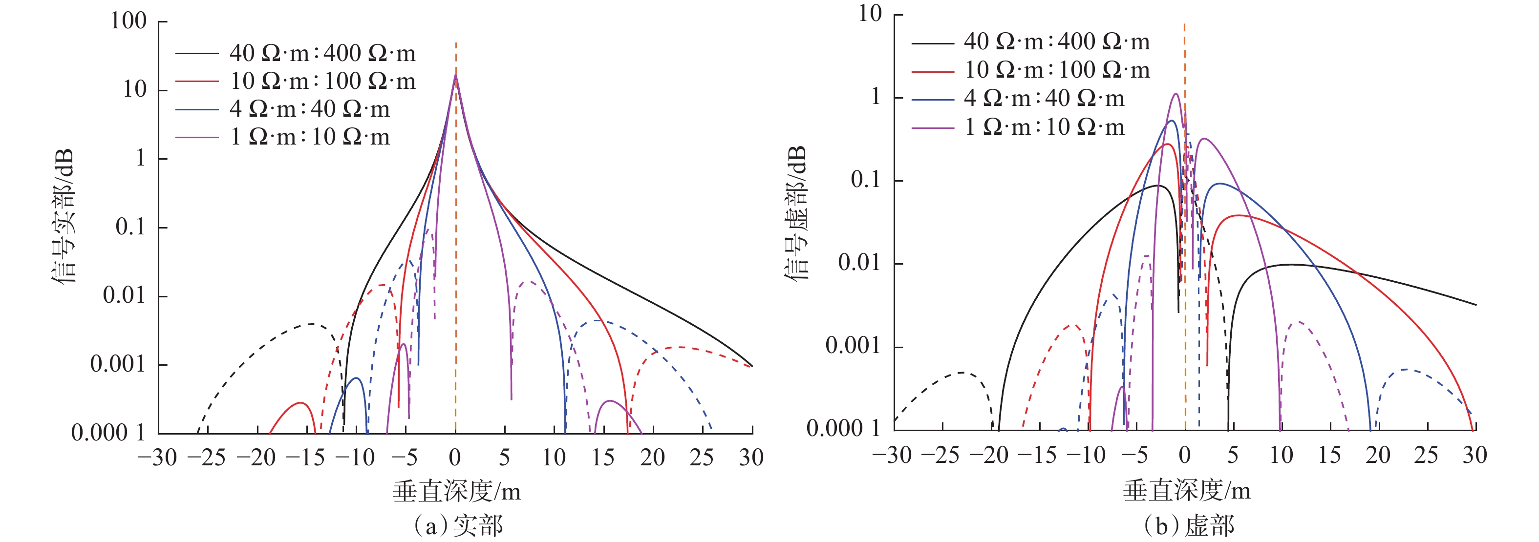
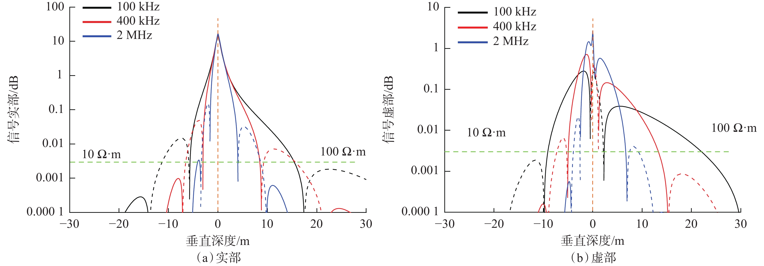
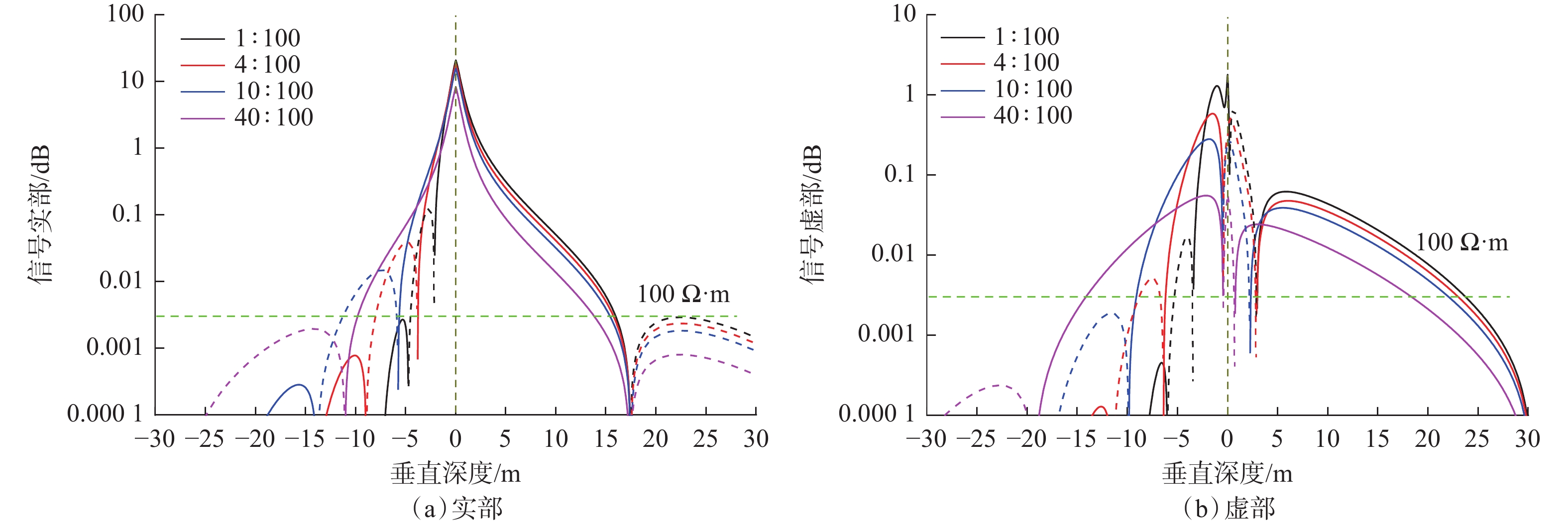
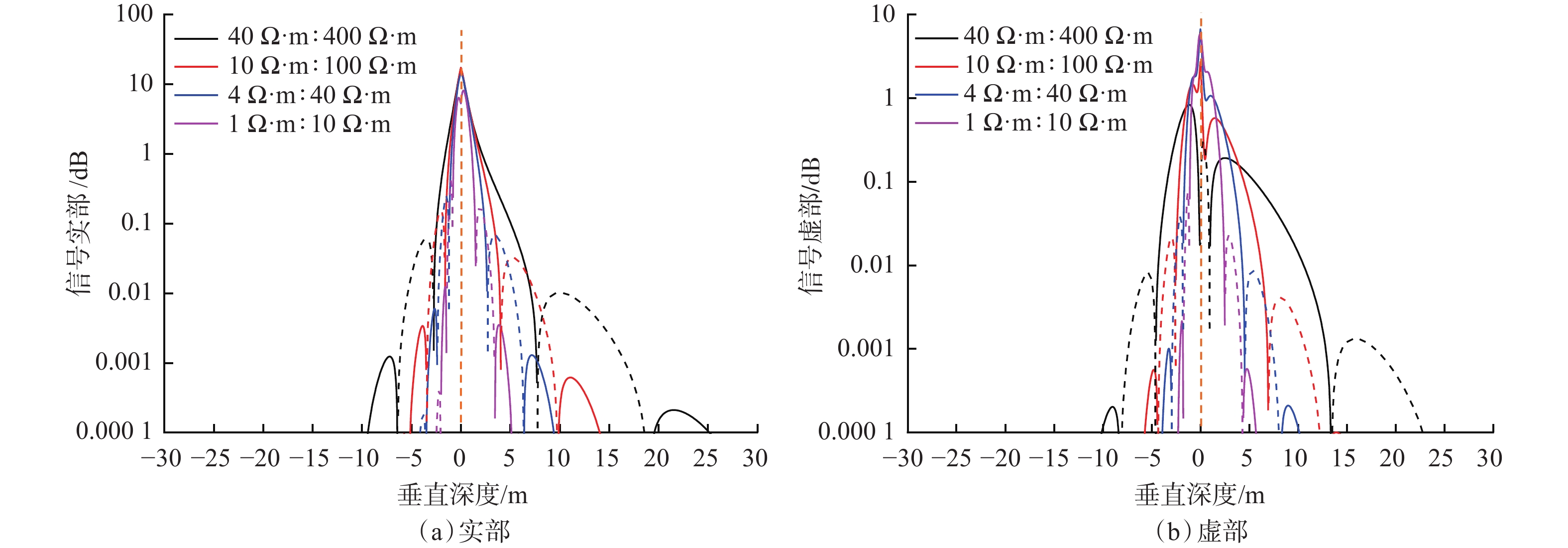
  • 摘要: 现有随钻测井技术存在仪器过长、信号同步困难和探测盲区大等问题,如何实现对地层边界的实时探测与精确成像,是目前随钻测井的热点和难点问题。为此,以闭合线圈为发射线圈、非闭合线圈为接收线圈,设计了一种新型混合偶极子天线系统,给出了其结构和测量原理,构建了测量电势信号转换成地质信号的方法,分析了基于电场信号的远探测响应规律及影响因素。在此基础上,对比分析了典型层状介质混合偶极子远探测地质信号的实部和虚部与源距及工作频率的关系,考察了地质信号对地层界面方位的敏感性,以及电阻率和对比度对探边能力的影响规律。最后,借助单界面模型,明确了混合偶极子远探测方法在短源距及多种工作频率下的最大探边距离。研究结果可为混合偶极子远探测测井仪器的研制提供依据。

     

    Abstract: Accomplishing real-time detection and accurate imaging of a formation boundary is one of the current urgent and difficult points of logging while drilling (LWD). However, existing LWD technologies face problems such as overlong instruments, difficult signal synchronization, and large detection blind areas,etc. Therefore, in this paper, closed and open coils were employed as transmitter and receiver coils, respectively, and a new hybrid dipole antenna system was designed. In addition, the structure and the measurement principle of the system were explained, and the method of converting measured electric potential signals into geological signals was established. The response law and influencing factors of remote detection based on electric field signals were analyzed. Accordingly, the relationship of the real and imaginary parts of the geological signals with the coil spacing and working frequency of the hybrid dipole remote detection in typical laminated media was studied. The azimuth sensitivity of the geological signals to the formation interface, and the influencing law of resistivity and contrast on the boundary detection ability were investigated. Finally, with a single interface model, the maximum boundary detection distance of the hybrid dipole remote detection method under short coil spacing and multiple working frequencies was determined. The research results can provide a theoretical basis for the development of logging instruments with hybrid dipole remote detection.

     

/

返回文章
返回