多尺度随钻方位电磁波测井系统响应特征研究

Response Characteristics of Logging While Drilling System with Multi-Scale Azimuthal Electromagnetic Waves

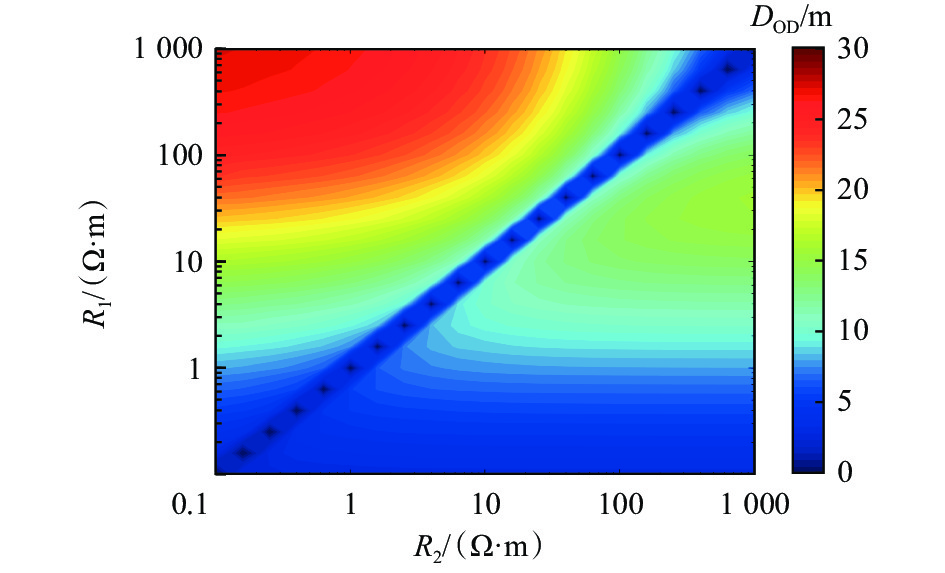
  • 摘要: 为了及时发现地层构造变化,规避钻井风险的同时准确评价地层,要求随钻测井仪器具备尽可能大的探测深度和较高的分辨率,而单一尺度的测量结果难以同时满足上述要求。为此,模拟研究了超深随钻方位电磁波和随钻方位电磁波测井系统的探测特性,分析了该测井系统的探边能力和分辨率,并探索了其对钻前地层界面的探测效果;然后,采用拟牛顿法,进行了多尺度随钻方位电磁波测井资料的精确快速反演。研究结果表明,通过增大源距、降低频率的方式,超深随钻方位电磁波测井的探边能力达到数十米;与小尺度随钻方位电磁波测井联合使用,通过反演可以实时获取油藏电阻率剖面信息,从而实现近远井不同范围内的地质预测、地质导向和油藏描述。

     

    Abstract: In order to detect changes in stratigraphic structures in time, and accurately evaluate formation while avoiding drilling risks, logging while drilling (LWD) instruments are required with adequate depth of detection (DOD) and higher resolution. However, the measurement results of a single scale LWD cannot simultaneously satisfy the stated requirements. Therefore, the detection characteristics of ultra-deep azimuthal electromagnetic wave LWD and a conventional one were simulated and investigated, and the boundary detection ability and resolution of the system were analyzed as well. Meanwhile, the detection effect of undrilled formation interface was also explored. Moreover, the quasi-Newton method was used to perform accurate and fast inversion of data from LWD with multi-scale azimuthal electromagnetic waves. The study results showed that by increasing the coil spacing and reducing the frequency, the LWD with ultra-deep azimuthal electromagnetic waves could have a boundary detection ability of tens of meters. Combined with a small-scale azimuthal electromagnetic wave LWD, the real-time resistivity profile of reservoirs through inversion could be obtained, so as to bring about geological prediction, geosteering, and reservoir characterization in the vicinity of wellbore and farther away.

     

/

返回文章
返回