可溶性球座Fe-Mn合金力学及腐蚀性能研究

Study on Mechanical and Corrosion Properties of Fe-Mn Alloy for Soluble Ball Seats

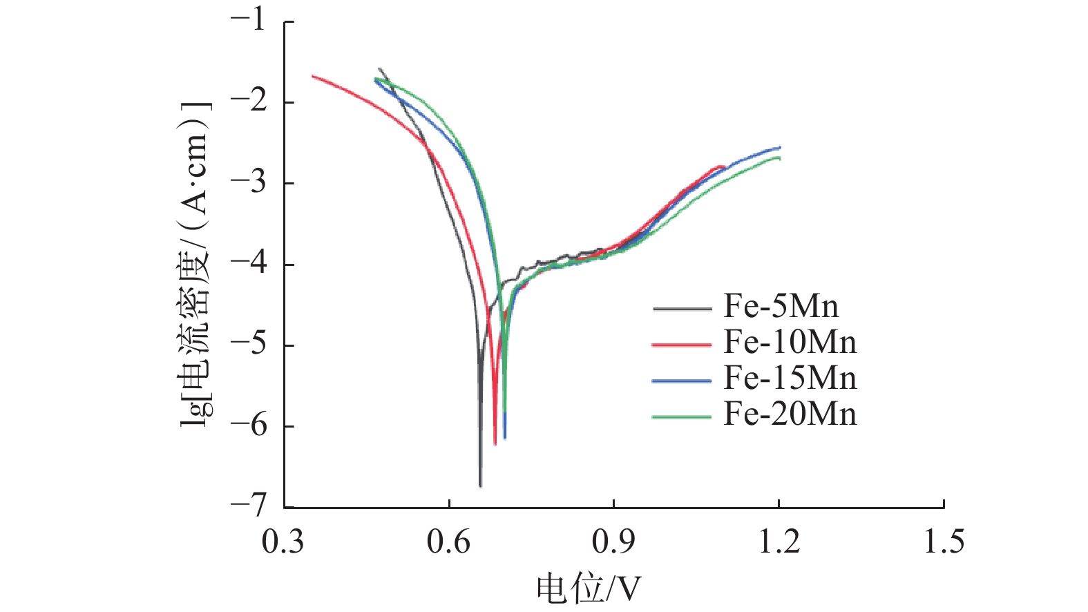
  • 摘要: 高温高压腐蚀环境下,可溶性球座会因材料强度、硬度不足及降解过快等原因过早失效。为此,采用OM、SEM、XRD表征可溶性球座材料Fe-Mn合金的微观结构与相成分,开展电化学测试、力学性能测试、加速浸泡腐蚀试验及高温高压浸泡腐蚀试验,分析了Fe-Mn合金的力学及腐蚀性能。测试结果表明,锰元素有细化晶粒的作用,随着锰含量增大,合金硬度和屈服强度呈先增大后减小趋势,Fe-5Mn合金硬度和屈服强度分别为345 HV和812 MPa;锰含量增大,自腐蚀电位负移,腐蚀电流密度增大,Fe-5Mn合金自腐蚀电流密度为4.64×10-5 mA/cm2。在长期加速浸泡腐蚀试验环境下,锰含量增大,导致腐蚀速率降低,Fe-5Mn极限降解速率为4.3 mm/a;长期高温高压浸泡试验条件下,腐蚀初期锰含量增大,提升了腐蚀速率,腐蚀后期合金整体腐蚀速率缓慢且趋于同一水平,Fe-5Mn满足作为可溶性球座材料的性能要求。研究结果可为选择Fe-Mn合金作为井下可溶性球座材料提供参考。

     

    Abstract: In high-temperature and high-pressure corrosion environments, soluble ball seats would fail prematurely due to insufficient strength, hardness and rapid degradation. Therefore, the microstructure and phase composition of the Fe-Mn alloy for soluble ball seat materials were characterized by optical microscope(OM), scanning electron microscope(SEM), and X-ray diffraction(XRD). In addition, the mechanical and corrosion properties of the Fe-Mn alloy were studied by means of electrochemical tests, mechanical property tests, accelerated immersion corrosion tests, and high-temperature and high-pressure immersion corrosion tests. The test results indicated that Mn could refine grains. With the increase of Mn content, the hardness and yield strength of the alloy first increased and then decreased. The hardness and yield strength of Fe-5Mn alloy was 345 HV and 812 MPa, respectively. With the increase in Mn content, the self-corrosion potential changed negatively, and the corrosion current density increased. The self-corrosion current density of Fe-5Mn alloy was 4.64 × 10-5mA/cm2. In the experimental environment of long-term accelerated immersion corrosion, the increase in Mn content led to the decrease of the corrosion rate, and the ultimate degradation rate of Fe-5Mn was 4.3 mm/a. In the long-term high-temperature and high-pressure immersion experiment, the increase in Mn content at the initial stage of corrosion increased the corrosion rate, while the overall corrosion rate of the alloy was slow and tended to be stable at later stages of corrosion. In conclusion, Fe-5Mn met the performance requirements for soluble ball seat materials. This study could provide a reference for the application of Fe-Mn alloy in downhole soluble ball seats.

     

/

返回文章
返回