智能井井下液压控制信号传输特性研究

Transmission Characteristics of Downhole Hydraulic Control Signalsin Intelligent Wells

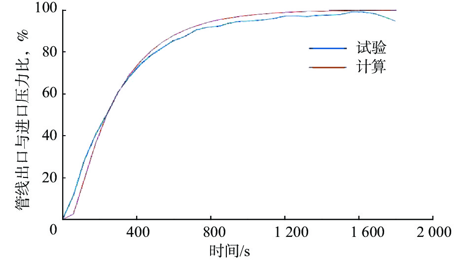
  • 摘要: 液压控制的智能井系统通过长达数千米的液压管线向井下传送液压控制信号和动力,选择目的层层位和控制流量。向井下传送液压控制信号时,受传输介质和细长液压管线的影响,液压控制信号的传输速度、强度和形态都会发生衰减和扭曲,难以被井下设备识别。为对井下执行器进行可靠的控制,讨论了液压控制信号的传输速度、井眼温度沿深度方向变化对传输介质黏度的影响;分析了井口压力向井下传播时压力与时间的变化关系、地面液压控制信号传到井下时的形态变化、同时施加液压控制信号和液压动力信号时的传输特性,以及有无阻力状态下开启井下滑套时控制压力的变化;再考虑管线内径、加压方式、井眼环境、液压油黏度等对上述传输特性的影响,得出液压控制压力应大于5 MPa、3 000 m深水井中井下液压信号传输时间约为25 min等定量评估结论。研究结论可为开展井下液压控制提供理论参考。

     

    Abstract: Hydraulically controlled intelligent well systems transmit control signals and power to the underground through thousands of meters of hydraulic control pipelines, and realize horizon selection in target layers and flow rate control. Transmitted downhole hydraulic control signals are affected by transmission media and slender transmission pipeline. Thus, the transmission speed, strength, and shapes of these signals are subject to attenuation and distortion, which are difficult to identify by the downhole equipment. To achieve sound control over the downhole actuator, this study discussed the influence of the signal transmission speed and wellbore temperature variation along the depth on the viscosity of transmission media. The following aspects were explored: the variation of pressure over time when the wellhead pressure propagated downward; the change in the shapes of ground control signals when they were transmitted underground; the transmission characteristics when hydraulic control signals and hydraulic power signals were applied simultaneously; the change in control pressure to open downhole sliding sleeves with or without resistance. In addition, upon consideration of the influence of different inner pipeline diameters, pressure applied methods, wellbore environments, and viscosity of hydraulic oil on the above transmission characteristics, several quantitative evaluation conclusions were drawn. For example, the hydraulic control pressure should be greater than 5 MPa, and the downhole transmission time for hydraulic signals in a deep-offshore well with a depth of 3 000 m was about 25 min. The research conclusions could provide a theoretical reference for downhole hydraulic control.

     

/

返回文章
返回