随钻多极子声波测井仪接收声系的优化设计与试验

Optimal Design and Experimental Study of the Receiver Sonde in Multipole Acoustic LWD Tools

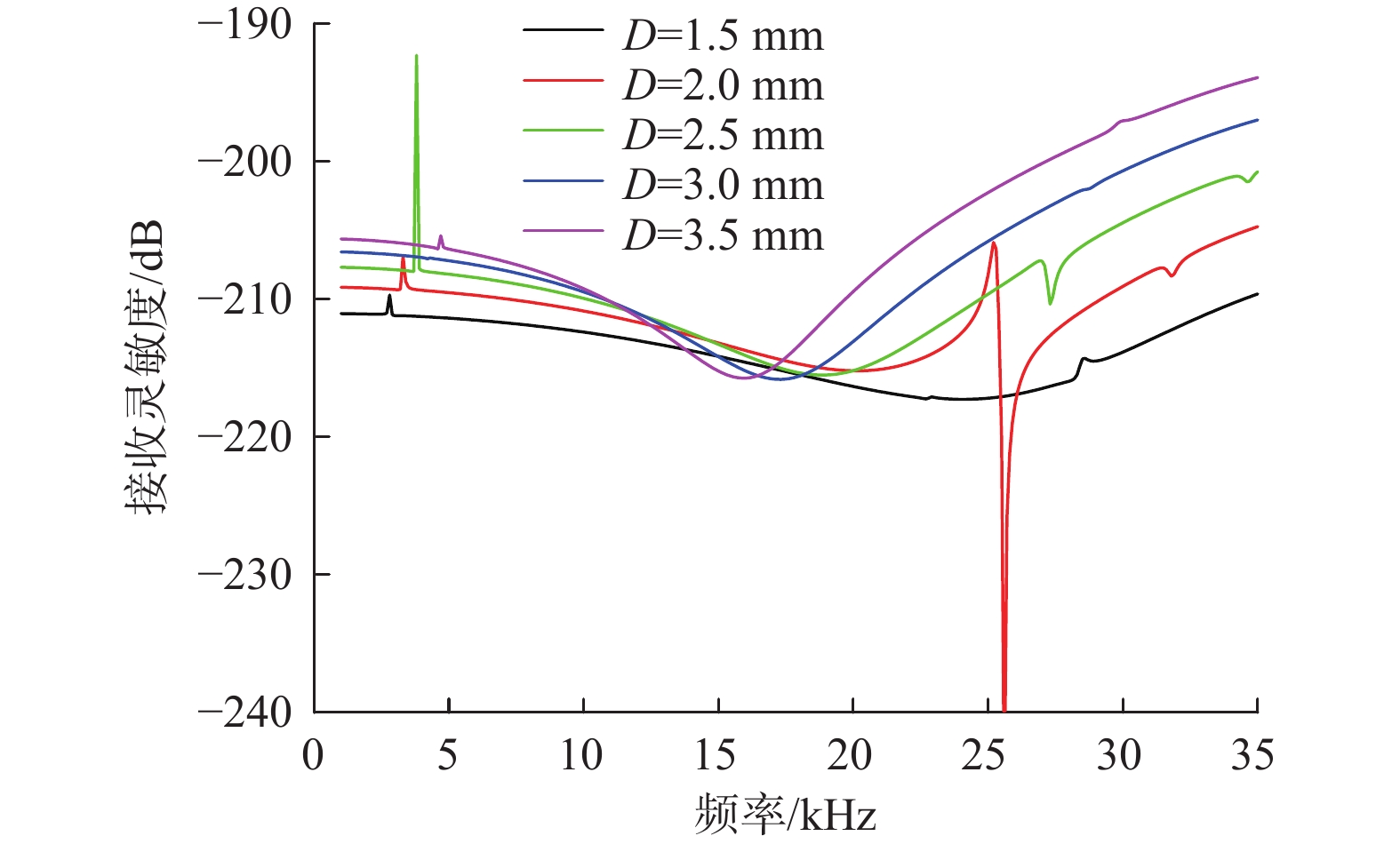
  • 摘要: 随钻多极子声波测井仪的接收声系直接影响采集信号的质量和测井仪机械结构的稳定性。为此,采用有限元法与试验测量相结合的方法,优化设计了随钻多极子声波测井仪器的接收声系。接收声系模拟分析结果表明,接收声系的性能主要受压电陶瓷片厚度、面积、封装外壳厚度及表面平整度的影响:压电陶瓷片厚度越大,接收灵敏度越高,频率在15 kHz以下时压电陶瓷片表面积对接收灵敏度影响不大;接收声系封装外壳的厚度越小,表面平整度越好,接收灵敏度的变化幅度越小。在此基础上,采用3D打印技术加工了厚度分别为0.5和2.0 mm的长条方管铝制金属外壳,并对制作的接收声系进行了灵敏度试验,试验结果与理论计算结果基本吻合,采用薄壁接收声系外壳更有利于接收测量信号。随钻多极子接收声系的优化设计为国产随钻声波测井仪的研制提供了新思路。

     

    Abstract: The receiver sonde of multipole acoustic logging while drilling (LWD) tools directly affects the quality of collected signals and the stability of the tool’s mechanical structure. Therefore, the receiver sonde of multipole acoustic LWD tools was optimized in this study by combining finite element method and experimental measurements. The analysis of the receiver sonde simulation showed that the performance of the receiver sonde was mainly affected by the thickness and area of piezoelectric ceramic slices as well as the thickness and surface flatness of packaging shells. In addition, receiving sensitivity would be enhanced as the thickness of piezoelectric ceramic slices increased, and the area of piezoelectric ceramic slices had no obvious effect on receiving sensitivity when the frequency was below 15 kHz. Furthermore, the variation range of the receiving sensitivity would be smaller as the thickness of packaging shells decreased and the surface flatness increased. On this basis, long square tubes with aluminum shells were processed using 3D printing technology, with a thickness of 0.5 mm and 2.0 mm, respectively. Then, the fabricated receiver sonde was tested in terms of sensitivity, and the test results were in good agreement with the calculated results. As a result, it was demonstrated that thin-wall shells were more beneficial to the signal receiving of measurement. The optimal design of receiver sonde in multipole acoustic LWD tools will provide new possibilities for designing and developing acoustic LWD tools in China.

     

/

返回文章
返回