长庆油田宽带压裂储层产能模型及渗流规律研究

Productivity Model and Seepage Rules for the Broadband Fracturing of Ultra-Low Permeability Reservoirs in Changqing Oilfield

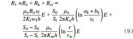
  • 摘要: 长庆油田超低渗透油藏具有储层致密、物性差和非均质性强等特征,采用宽带压裂技术提高了开发效果,实现了增油降水的目的,但目前仍缺乏理论产能模型,存在对水驱机理认识不清的问题。为了准确评价长庆油田宽带压裂改造的增产作用,进一步揭示油水渗流规律,基于油水两相流体的流动形态,将注水井的渗流物理场划分为主裂缝内线性流、宽带区椭圆流和基质区圆形径向流等3个区域;根据等值渗流阻力法,建立了菱形反九点井网宽带压裂非达西渗流的产能模型;以实际井组为例,采用数值计算方法,计算分析了宽带区的带宽及等效渗透率对井网产能的影响,探究了日产液量的变化规律。研究结果表明,宽带压裂技术可显著提高井网的日产油量、采出程度和日产液量,可扩大侧向波及体积,改善水驱的均匀性,提高井网的产能。该研究成果为油田现场优化宽带压裂技术应用提供了理论支持。

     

    Abstract: The ultra-low permeability reservoirs in Changqing Oilfield are characterized by tight structure, poor physical properties, and high heterogeneity. The broadband fracturing technology adopted has promoted the development effectiveness and fulfilled the objective of increasing oil production and reducing water cut. However, current studies rarely focus on building a productivity prediction model, and the water flooding mechanism remains to be clearly perceived. Therefore, this paper was designed to accurately evaluate the stimulation effect of broadband fracturing in Changqing Oilfield and further reveal the seepage rules. The physical seepage field around the water injection well was divided into three zones according to the flow pattern of the oil-water two-phase flow, namely the main fracture zone with a linear flow, the broadband zone with an elliptical flow, and the matrix zone with a circular radial flow. Furthermore, the equivalent flow resistance method was employed to build a productivity model for broadband fracturing of the diamond inverted nine-spot well pattern with non-Darcy seepage. With an actual well group as an example, the influence brought by broadband width and equivalent permeability on the productivity of the well pattern were analyzed by numerical computation, and the change rules of daily liquid production were explored. This results suggest that the broadband fracturing technology dramatically boosts the daily oil production, recovery degree and daily liquid production of the well pattern, enlarges the lateral swept volume, enhances the uniformity of water flooding, and improves the productivity. The results of this paper can provide theoretical support for oilfields to optimize the technology of broadband fracturing on site.

     

/

返回文章
返回