层状介质水力裂缝电磁响应的有限元正演模拟

Finite-Element Forward Modeling of Electromagnetic Response of Hydraulic Fractures in Layered Medium

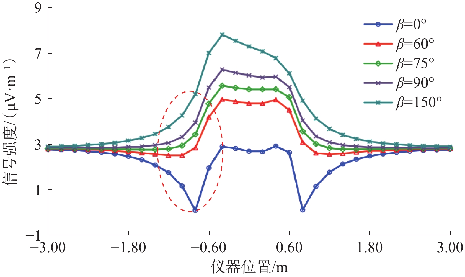
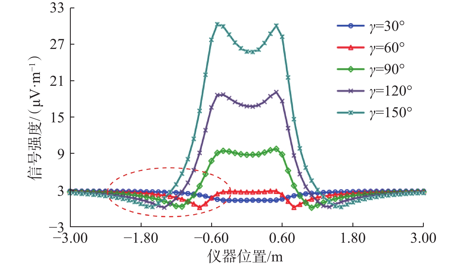
  • 摘要: 为了解多层介质裂缝中电磁测井仪器的响应特征,以低频电磁场理论为基础,利用有限元软件建立了单层介质和5层介质地层裂缝模型,在此基础上,对层状介质水力裂缝接收线圈的感应电动势进行了正演模拟。模拟结果显示,裂缝位置处的感应电动势曲线变化显著。裂缝为对称裂缝,裂缝与井眼的夹角在25°~90°时,夹角越小,裂缝响应信号越曲折;夹角在90°~155°时,夹角越大,裂缝响应信号越曲折。裂缝为非对称裂缝,展宽角在30°~150°时,展宽角越大,多层介质条件下的裂缝响应信号的非对称性越明显。研究结果表明,多层介质对裂缝响应曲线有一定的影响,研究结果为水平井水力压裂探测和评价提供了理论依据。

     

    Abstract: For better understanding of response characteristics of electromagnetic logging instruments in fractures in multi-layer medium, based on the low-frequency electromagnetic field theory, fracture models of a single-layer medium formation and a five-layer medium formation were built with finite-element software, respectively. On this basis, forward modeling of the induced electromotive force in the receiving coil in hydraulic fractures in the layered medium was carried out. The results showed that the induced electromotive force curve changed significantly at the fracture position. When the fracture is symmetrical and the angle between the fracture and the borehole is from 25° to 90°, the smaller the angle, the more tortuous the fracture response signal, which was exactly opposite to the case when the angle was between 90° and 155°. If the fracture was asymmetrical, the larger the widening angle, the more obvious the asymmetry of fracture response signal under the condition of multi-layer medium when the widening angle was in the range of 30–150°. The research shows that a multi-layer medium has influence on the fracture response curve, and the research results provide a theoretical basis for the detection and evaluation of hydraulic fractures in horizontal wells.

     

/

返回文章
返回