青海油田尕斯N1–N21超高盐油藏复合驱提高采收率技术

Oil Recovery Enhancement by Composite Flooding Technology for Gasi N1–N21 Ultra-High-Salinity Reservoir in Qinghai Oilfield

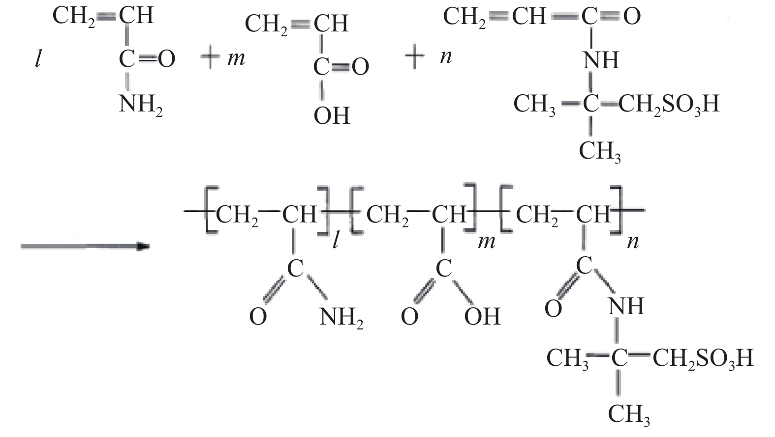
  • 摘要: 青海油田尕斯N1–N21油藏的地层水矿化度和钙镁离子含量超高,进行凝胶与表面活性剂复合驱,常规凝胶易脱水破胶,长期稳定性差,同时常规表面活性剂易与地层水中的钙镁离子发生反应产生沉淀。针对前一问题,合成了适用于尕斯N1–N21油藏的抗高盐有机凝胶,配方为0.3%~0.4%聚合物+0.2%~0.3%交联剂+0.1%~0.2%稳定剂,该体系在68 ℃条件下初凝时间大于70 h,成胶后凝胶黏度大于1.0×104 mPa∙s;优选了抗高盐表面活性剂QH-1,评价了界面张力和驱油效果,发现质量分数0.4%的QH-1溶液可提高采收率18.72%。室内试验结果表明,交替注入抗高盐有机凝胶和QH-1能有效遏制水的无效循环,提高中低渗区域的驱油效率,优化的“凝胶+QH-1”复合驱可提高采收率27.6%以上。该复合驱在尕斯N1–N21油藏9口注水井进行了应用,应用后对应油井的平均含水率由80%降至70%,增产油量2.41×104 t。研究结果表明,“凝胶+QH-1”复合驱提高采收率技术对青海油田尕斯N1–N21超高盐油藏增油降水具有很好的效果,具有推广价值。

     

    Abstract: The salinity and the content of calcium and magnesium ions are ultra-high in the formation water of Gasi N1–N21 reservoir in Qinghai Oilfield. While using gel and surfactant composite flooding, conventional gels are prone to dehydrate and break, showing poor long-term stability. Meanwhile, conventional surfactants are easy to react with the calcium and magnesium ions in formation water to cause precipitation. In view of this, a high-salinity-resistant organogel suitable for Gasi N1–N21 reservoir was developed, which consisted of polymer (0.3%–0.4%) + crosslinking agent (0.2%–0.3%) + stabilizer (0.1%–0.2%). The initial setting time of the system was longer than 70 h at 68 ℃, and the viscosity after gelling was greater than 1.0×104 mPa·s. What's more, a high-salinity-resistant surfactant QH-1 was optimized, and the interfacial tension and oil displacement effect were evaluated, witha finding that the QH-1 solution with a mass fraction of 0.4% could enhance the oil recovery by 18.72%. The laboratory test results indicated that alternate injection of the high-salinity-resistant organogel and QH-1 could effectively curb the ineffective water circulation and improve the oil displacement efficiency in the low and medium permeability areas. Notably, the optimized “gel + QH-1” composite flooding was capable of enhancing oil recovery by more than 27.6%. The composite flooding was applied to 9 water-injection wells in Gasi N1–N21 reservoir. As a result, the average water cut of these oil wells decreased from 80% to 70%, and the oil production increased by 2.41 × 104 t. The research results show that the oil recovery enhancement by “gel + QH-1” composite flooding is effective in enhancing oil production and decreasing water cut in Gasi N1–N21 ultra-high-salinity reservoir, so it is worthy of promotion and application.

     

/

返回文章
返回