影响控压放水施工效果的关键参数模拟研究

Simulation Study on the Key Parameters Affecting Pressure-Controlled Drainage Effect

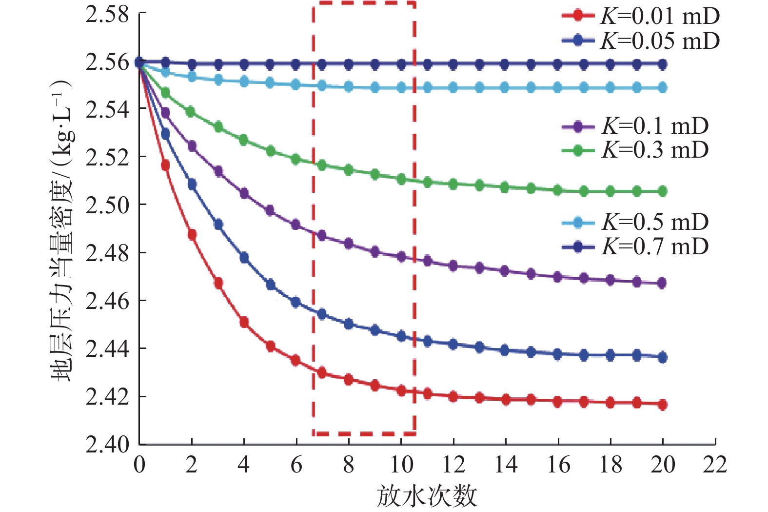
  • 摘要: 控压放水可以有效降低高压盐水层的地层压力,但不清楚施工过程中一些关键参数对控压放水效果的影响程度。为此,分析了控压放水的技术特征、工艺特点,总结了控压放水的工艺流程;基于地层盐水渗流和井筒流动理论,考虑关井期间地层压力的恢复,建立了参数动态变化、可以模拟控压放水全过程的数学模型。以塔里木油田克深A井为例,进行了模拟计算,模拟结果与实测结果误差较小。分析影响放水效果和周期的关键参数发现:关井时间越短,地层压力下降速度越快;节流阀承压极限从5 MPa提高至15 MPa,循环排污次数可以减少一半;当地层渗透率较低时,前7次放水效果显著,因此确定试放水时间为7 d。根据研究结果提出了相应的改进措施,以便更好地控制关键施工参数,提高控压放水效果。

     

    Abstract: Pressure-controlled drainage can effectively reduce formation pressure in a high-pressure brine layer, but the influence of some key parameters on its effect in operating process is still unclear. The characteristics of pressure-controlled drainage technology were analyzed, and its technological process was summarized. On the basis of the seepage theory of formation brine and wellbore flow theory, a mathematical model with dynamic parameters was built taking into consideration the formation pressure recovery in the shut-in period to simulate the entire process of pressure-controlled drainage. Taking Well Keshen A in Tarim Oilfield as an example, simulations were conducted and the results by simulation and measurement were analyzed. It was found that the error between them was small. The analysis of key parameters affecting the effects and cycles of water drainage showed that the shorter the shut-in time, the quicker the decline in formation pressure. When the pressure-bearing limit of throttle was raised from 5 MPa to 15 MPa, the number of times for cyclic sewage disposal could be reduced by half. However, when the formation permeability was low, the effects of the first seven operations of water drainage were remarkable, and thus the period for trial drainage was set to seven days. According to the above results, relevant improving measures were put forward to better control the key operational parameters, so as to enhance the effects of pressure-controlled drainage.

     

/

返回文章
返回