页岩油藏裂缝网络多相渗流数值模拟研究

Numerical Simulation of Multiphase Flow in Fracture Networks in Shale Oil Reservoir

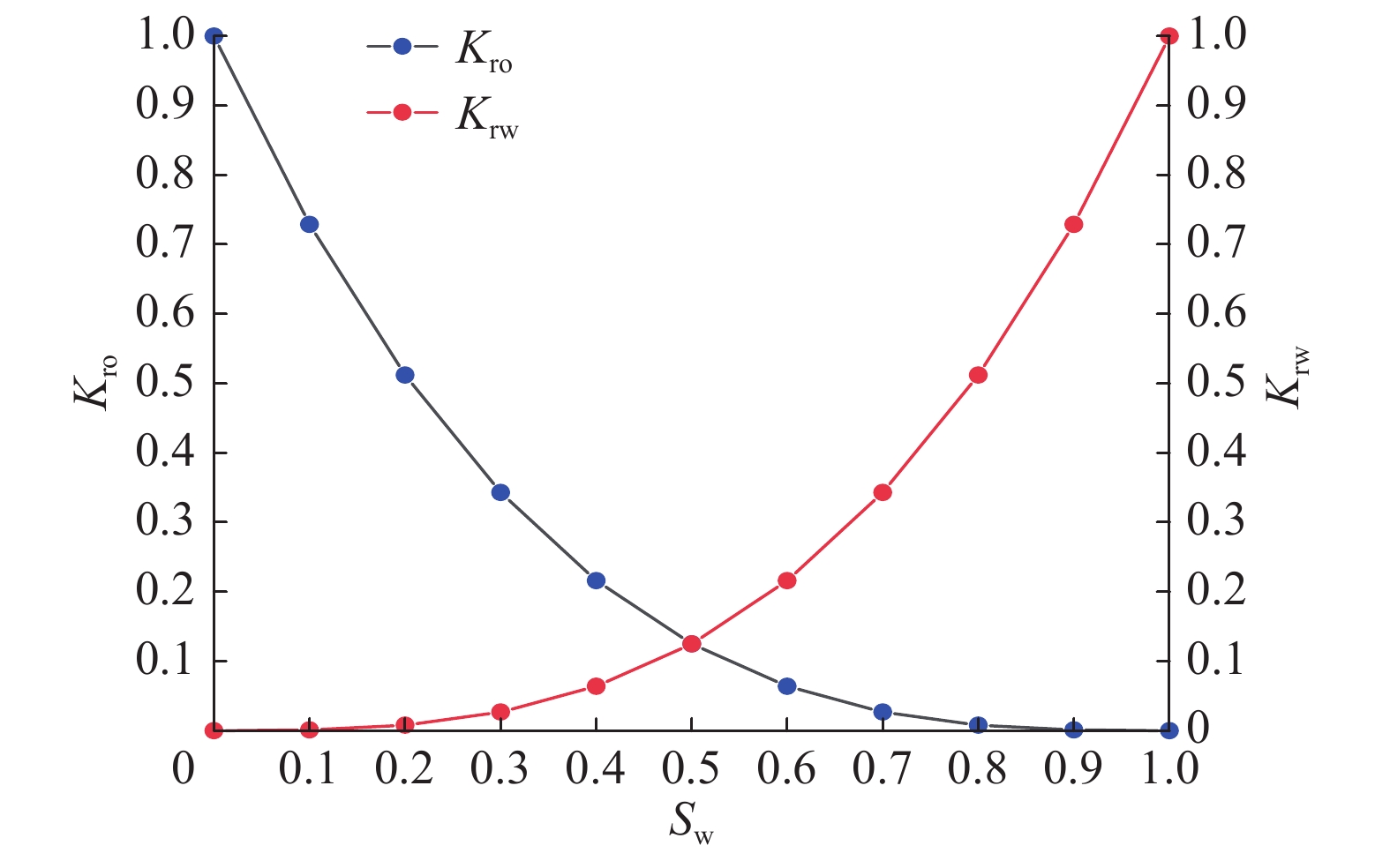
  • 摘要: 为了准确表征页岩油藏复杂裂缝中多相流体的流动,建立了嵌入裂缝多相流动模型和多裂缝交叉网络多相流动模型,采用数值模拟方法,研究了多相流体在多裂缝交叉网络中的流动规律。研究结果表明,裂缝网络多相渗流数值模拟方法解决了表征流体单一、裂缝尺度范围大、划分网格要求精度高、流体参数在裂缝界面处不连续等问题,能够判断水力压裂裂缝与天然裂缝沟通的规模及距离,数值模拟计算的地层压力可以表征页岩油藏裂缝网络附近区域内压力随生产时间的变化规律。裂缝网络多相渗流数值模拟,实现了数值模拟的高效计算,为评价页岩油藏储层提供了新的技术方法。

     

    Abstract: Models for multiphase flow in embedded fractures and multi-fracture-intersecting networks were built to accurately characterize the flow of multiphase fluid in complex fractures in shale oil reservoirs. The numerical simulation method was utilized to analyze the flow law of multiphase fluids in the multi-fracture-intersecting networks. The results show that the numerical simulation method for the multiphase flow in the fracture networks solves problems such as single fluid type characterization, large fracture scales, high requirements for meshing accuracy, and discontinuity of fluid parameters at the fracture interface. This method can be used to assess the communication scale of hydraulic and natural fracturesand the distance between them. The formation pressure calculated by the numerical simulation method can be used to characterize the pressure variation near the fracture networks of shale oil reservoirs with the production time. The numerical simulation method proposed in this paper shows high efficiency in computing, and provides a new technical approach for the evaluation of shale oil reservoirs.

     

/

返回文章
返回