环空加压固井对双层套管水泥环界面径向应力的影响

The Effect of Pre-Applied Annulus Back Pressure Cementing on Radial Stress of Interfaces in Double Layer Casing Systems

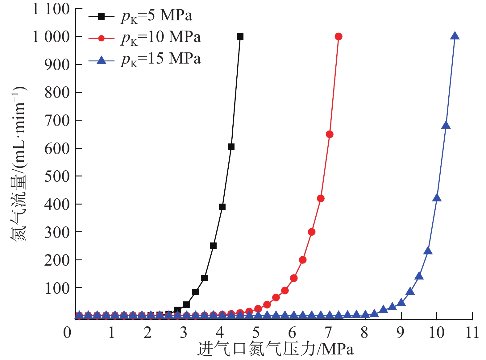
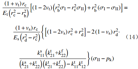
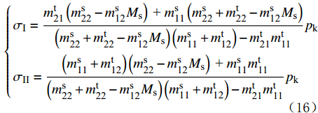
  • 摘要: 环空加压固井技术能有效提高水泥环密封能力、降低环空带压问题的发生,为了准确掌握其作用的力学机理,基于弹性力学和界面位移连续条件,考虑环空加压固井施工过程,建立了环空加压固井套管–水泥环界面应力计算模型,研究了环空加压固井提高双层套管–水泥环系统密封能力的力学机理,并采用试验方法验证了理论模型的准确性。利用建立的力学分析模型,研究了各因素对界面密封能力的影响规律。研究结果显示:提高固井过程中环空加压压力可显著增大界面上产生的径向压应力,提高水泥环的密封能力;界面径向应力随环空压力增大呈线性增加;环空加压固井对提高内层套管–水泥环界面密封能力的效果更好;水泥环弹性模量越大,界面处的径向应力越大,密封能力越强。研究结果表明,环空加压固井能显著提高界面密封能力,利用建立的力学模型能定量计算界面处的径向应力。研究成果对油气井环空加压固井设计与施工具有重要意义。

     

    Abstract: Pre-applied annulus back pressure cementing can effectively improve the sealing ability of cement sheaths and reduce the occurrence of annulus pressure buildup. In order to accurately understand the mechanical mechanism, the model for calculating the stress on the casing-cement sheath interface was developed based on elastic mechanics and continuity condition of interfacial displacement with consideration of the operation process of pre-applied annulus back pressure cementing. With the model, the mechanical mechanism for improving sealing ability of the system of double layer casing-cement sheath with pre-applied annulus back pressure cementing was further studied. The accuracy of the theoretical model was verified by experiments. The influence of various factors on the sealing ability of the interface was studied by the mechanical model proposed. The results showed that increasing the pre-applied annulus back pressure during cementing could significantly increase the radial stress on interface, resulting in strengthening the sealing ability of cement sheath. The radial stress on interface increases linearly with the increase of annulus pressure. The pre-applied annulus back pressure cementing works better on the improvement of sealing ability of the inner casing-cement sheath interface. A relationship was delineated: the greater the elastic modulus of the cement sheath, the greater the radial stress on the interface, and the stronger the sealing ability. The results indicated that the pre-applied annulus back pressure cementing could significantly increase sealing ability of the interface, and the model has provided a quantitative calculation method for the radial stress on the interface. The research finding is of great importance to the design and operation of the pre-applied annulus back pressure cementing in oil and gas wells.

     

/

返回文章
返回