恒温差热式流量计影响因素模拟与试验研究

Simulation and Experimental Studies on the Influencing Factors of a Thermal Flowmeter with Constant Temperature Difference

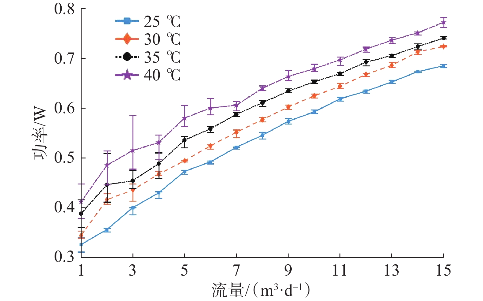
  • 摘要: 针对恒温差热式流量计在井下测量小流量流体时误差较大的问题,进行了温度、压力的影响研究。根据流量计加热器电功率与被测流体流量的关系,分析了温度对液态水物性参数的影响,通过数值模拟研究了不同温度下水流量与流量计换热功率的变化曲线。在此基础上,搭建了可调节水温和流体流量的试验平台,在定压(常压)条件下,通过试验分析了25~40 ℃下流量计功率与水流量的关系,试验发现,流量计的加热器功率与环境温度成单调增关系。理论分析实测条件下恒温差热式流量计的影响因素得到:流量计位于0~2 000 m井段时,深度每增加500 m造成的测量误差约为2.2 m3/d;位于2 000~4 000 m井段,测量误差约为0.6 m3/d。研究表明,相同流量下,恒温差热式流量计的输出功率会随井深增加(井筒温度、压力变化)而升高,导致出现测量误差,研究结果为该流量计测量结果的校正和有效应用提供了理论依据。

     

    Abstract: Due to the fact that the thermal flowmeter with constant temperature difference brings large errors when measuring downhole flow in low flow-rate, the influence of temperature and pressure was studied. According to the relationship between the electric power of the flowmeter heater and the measured flow rate, the influence of temperature on the physical parameters of liquid water was analyzed, and the change curve of the heat transfer power of the flowmeter and flow rate at different temperatures was simulated numerically. An experimental platform with adjustable water temperature and flow rate was built on that basis, and the relationship between the power of the flowmeter and flow rate at 25–40 °C under constant pressure was thereby analyzed, revealing that power of the flowmeter heater increases monotonically with temperature. In terms of theoretical analysis, a 500 m increase in the well depth leads to an error of 2.2 m3/d when the flowmeter is in the depth from 0 to 2 000 m; while the error is 0.6 m3/d when it is in the depth from 2 000 to 4 000 m. The results showed that output power of the thermal flowmeter with constant temperature difference will increase with the increase of well depth (wellbore temperature, pressure change), resulting in measurement errors, which provides a theoretical basis for the correction and effective application of the flowmeter measurement results.

     

/

返回文章
返回