井下钻柱振动信号的测量及振动激励源研究

Measurement of the Downhole Drill String Vibration Signal and Analysis of the Vibration Excitation Sources

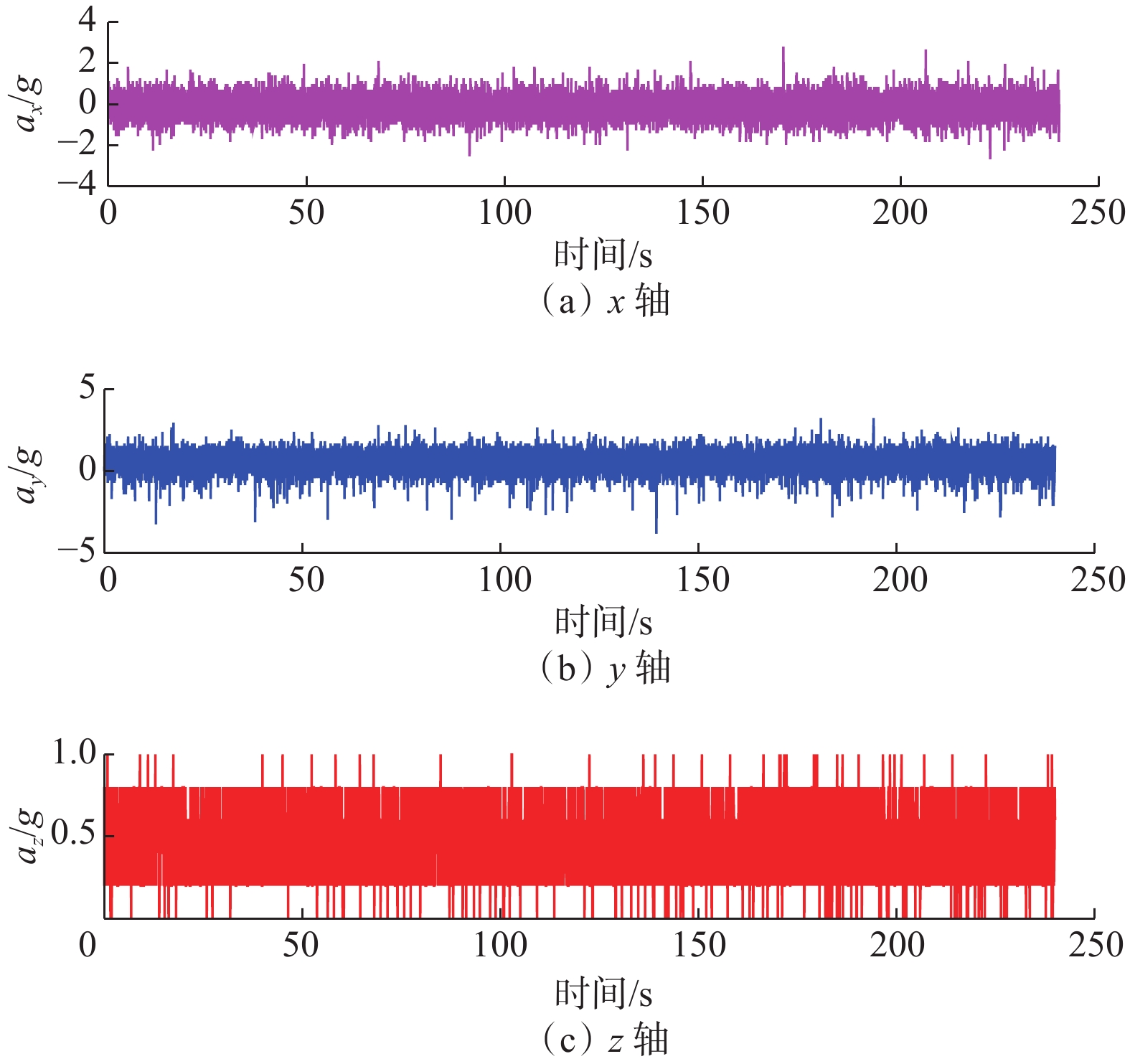
  • 摘要: 为深入认识钻井过程中井下钻柱振动的特征、明确振动激励源,利用ESM存储式测量系统对某超深井旋转钻进过程中的振动信号进行了测量,并分析了钻柱粘滑和涡动的主要特征;以此为基础,分别采用快速傅里叶变换和短时傅里叶变换方法对钻柱振动信息进行频域和时频分析,确定了引起钻柱振动的主要频率,进而明确了其振动激励源。研究发现:钻柱发生粘滑运动时,三轴加速度呈同步周期性变化,其周期为10 s,主要频率成分为0.1 Hz;钻柱发生涡动时,三轴加速度均呈杂乱无章的不规则波动,主要振动频率为钻头转速的2倍频、转盘转速的1~5倍频。实例分析结果表明,引起钻柱涡动的激励源主要有钻头与地层的相互作用、稳定器或Power-V系统与井壁的摩擦等,为制定减振措施提供了理论依据。

     

    Abstract: To deeply understand the downhole drill string vibrations and clearly identify the vibration excitation sources in the drilling process, the vibration signals were measured during rotary drilling of an ultra-deep well by the ESM (environmental severity measurement) storage system. According to the principle of measurement, the stick-slip and whirling vibrations of the drill string were studied. On this basis, the frequency domain and time frequency of drill string vibrations were analyzed by the fast Fourier transform and short-time Fourier transform. Then the main frequency causing drill string vibrations was determined, and the vibration excitation sources were further identified. The results demonstrated that during the stick-slip vibrations of the drill string, the triaxial acceleration changed synchronously and periodically, with a period of 10 s and a main frequency component of 0.1 Hz. When the drill string experiences whirling vibrations, the three-axis acceleration fluctuated disorderly and irregularly, and the main vibration frequency was twice the bit speed frequency, 1 to 5 times the rotary table speed frequency. The case analysis result showed that excitation sources causing the whirling mainly consisted of the interaction between the drilling bit and the formation, the friction between the stabilizer or Power-V system and the borehole wall, etc.

     

/

返回文章
返回