完井用多孔隙形状记忆聚合物的性能影响因素研究

Study on the Influencing Factors of the Properties of Porous Shape Memory Polymer for Well Completion

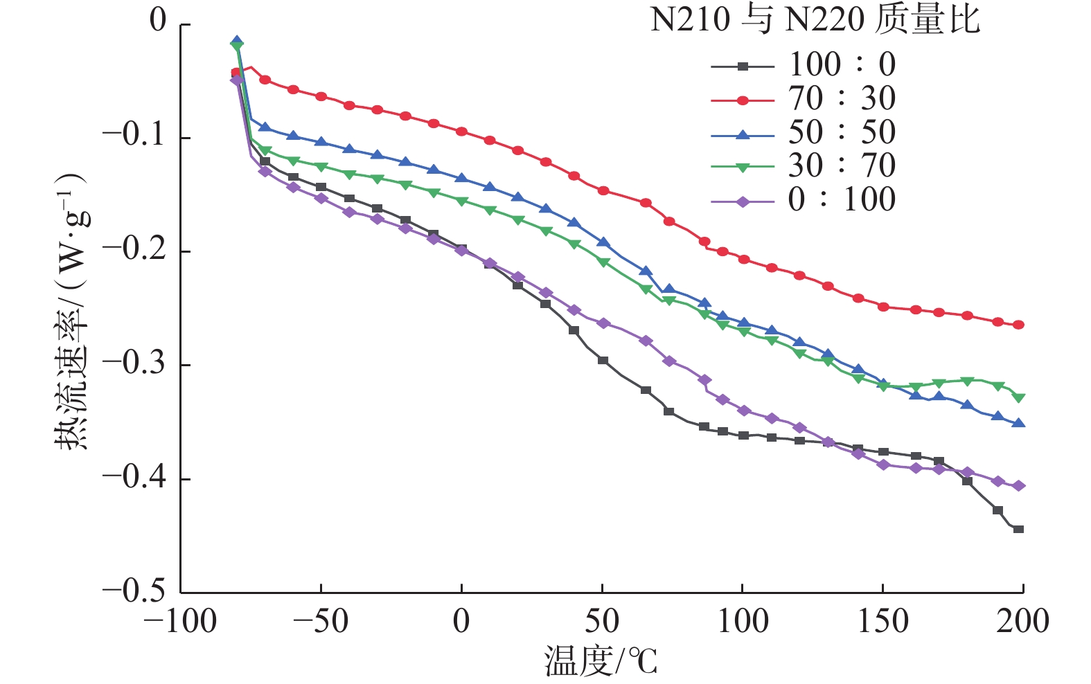
  • 摘要: 由单一相对分子质量多元醇制备的多孔隙形状记忆聚合物的性能无法满足完井的要求,需要采用不同相对分子质量多元醇制备多孔隙形状记忆聚合物。为给制备适用于不同井下条件的多孔隙形状记忆聚合物提供依据,通过改变不同相对分子质量多元醇的质量比,制备了不同的多孔隙形状记忆聚合物,并测试其力学性能、玻璃化温度、热敏性能和观察其孔隙结构,分析了不同相对分子质量多元醇的质量比对其性能的影响规律。低相对分子质量与高相对分子质量多元醇的质量比越大,多孔隙形状记忆聚合物的硬度、压缩强度和弯曲强度越高,玻璃化温度、热形变温度、形变恢复温度和开孔率越低,泡孔尺寸越大,孔型系数和泡孔壁厚越大,结构的各向异性越强。研究表明,通过调整制备原料中不同相对分子质量多元醇的质量比,可获得具有一定力学强度,同时满足不同井下温度条件形状恢复、对不同粒径地层砂具有滤砂过流功能的完井用多孔隙形状记忆聚合物。

     

    Abstract: The performance of porous shape memory polymer prepared by single relative molecular mass polyols cannot meet the requirements of well completion, so it is necessary to prepare a porous shape memory polymer with polyols in different relative molecular mass. In order to provide a basis for the preparation of porous shape memory polymers suitable for different downhole conditions, the different porous shape memory polymers are prepared by changing the relative molecular mass ratios of polyols. The influence of relative molecular mass ratios of polyols on their properties were analyzed by testing mechanical properties, glass transition temperature, and thermal sensitivity and by observing the pore structure. Larger relative mass ratio of low relative molecular mass polyols to high relative molecular mass polyols will bring higher hardness, compressive strength and bending strength of porous shape memory polymers; and it will cause lower temperature for glass transition, thermal deformation and the later recovery, and smaller opening rate; moreover, it will lead to larger foaming pore size, pore coefficients and pore wall thicknesses, and stronger structural anisotropy. The research demonstrated that a porous shape memory polymer for well completion can be obtained by adjusting the relative molecular mass ratios of polyols, this kind of polymer for completion has certain mechanical strength, it can meet the requirement for shape recovery under different downhole temperature conditions, possessing the filtering function for formation sands with different radius sizes.

     

/

返回文章
返回