气侵条件下新型双梯度钻井环空出口流量变化规律研究

Study on the Change Law of Annular Outlet Flow Rate in New-Type Dual-Gradient Drilling under Gas Cut Condition

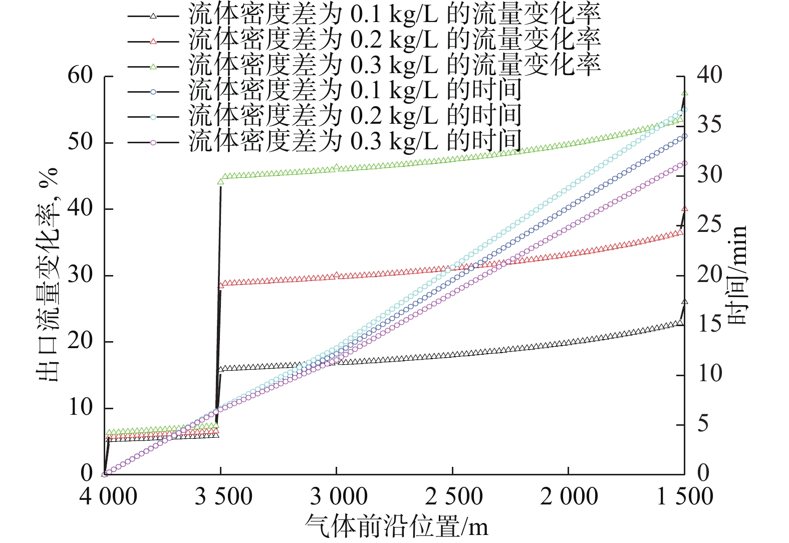
  • 摘要: 为了准确掌握气侵条件下新型双梯度钻井环空出口流量的变化规律,基于井筒气液两相流动理论,建立了考虑密度突变的气液两相流模型,分析了气侵条件下环空出口流量的变化,并探讨了不同因素变化对环空出口流量变化率的影响。研究发现:气体前沿到达分离器位置时,环空出口流量变化率明显突增;分离器位于泥线以下时,环空出口流量发生突增的时间要早于隔水管底端见气时间,有利于更早地识别气侵;低密度/高密度钻井液密度差、气侵量、排量、分离器位置、井深和井口回压等因素对环空出口流量变化率的影响程度依次降低。研究结果表明,考虑密度突变的气液两相流模型,可以准确预测气侵条件下新型双梯度钻井环空出口流量的变化情况,并为新型双梯度钻井早期溢流监测提供理论依据。

     

    Abstract: In order to accurately understand the change law of annular flow rate in new dual-gradient drilling under gas cut conditions, a gas-liquid two-phase flow model that considers density mutation has been established according to the theory of gas-liquid two-phase flow in the wellbore. They then analyzed the change of annular outlet flow rate under gas cut condition, as well as the influence of different factors on the change of annular outlet flow rate. The results showed that the change rate of annular outlet flow rate increased abruptly when the gas front reached the separator. Further, when the separator was located below the mud line, an abrupt increase of annular outlet flow rate would occur earlier than that of the gas at the bottom of the riser, which was helpful to the earlier identification of gas influx. Further, the influence degrees of density difference of light/heavy drilling fluids, gas influx, flow rate, separator position, well depth and wellhead back pressure on the change of annular outlet flow rate were reduced in turn. The gas-liquid two-phase flow model that considers the density mutation could accurately predict the change of annular outlet flow rate in the new-type dual-gradient drilling under gas cut condition,and provide a theoretical basis for early overflow monitoring in the new-type dual gradient drilling.

     

/

返回文章
返回