利用随钻电磁波测井探测直井水力裂缝的正演模拟

Forward Modeling in Hydraulic Fracture Detection by Means of Electromagnetic Wave Logging While Drilling in Vertical Wells

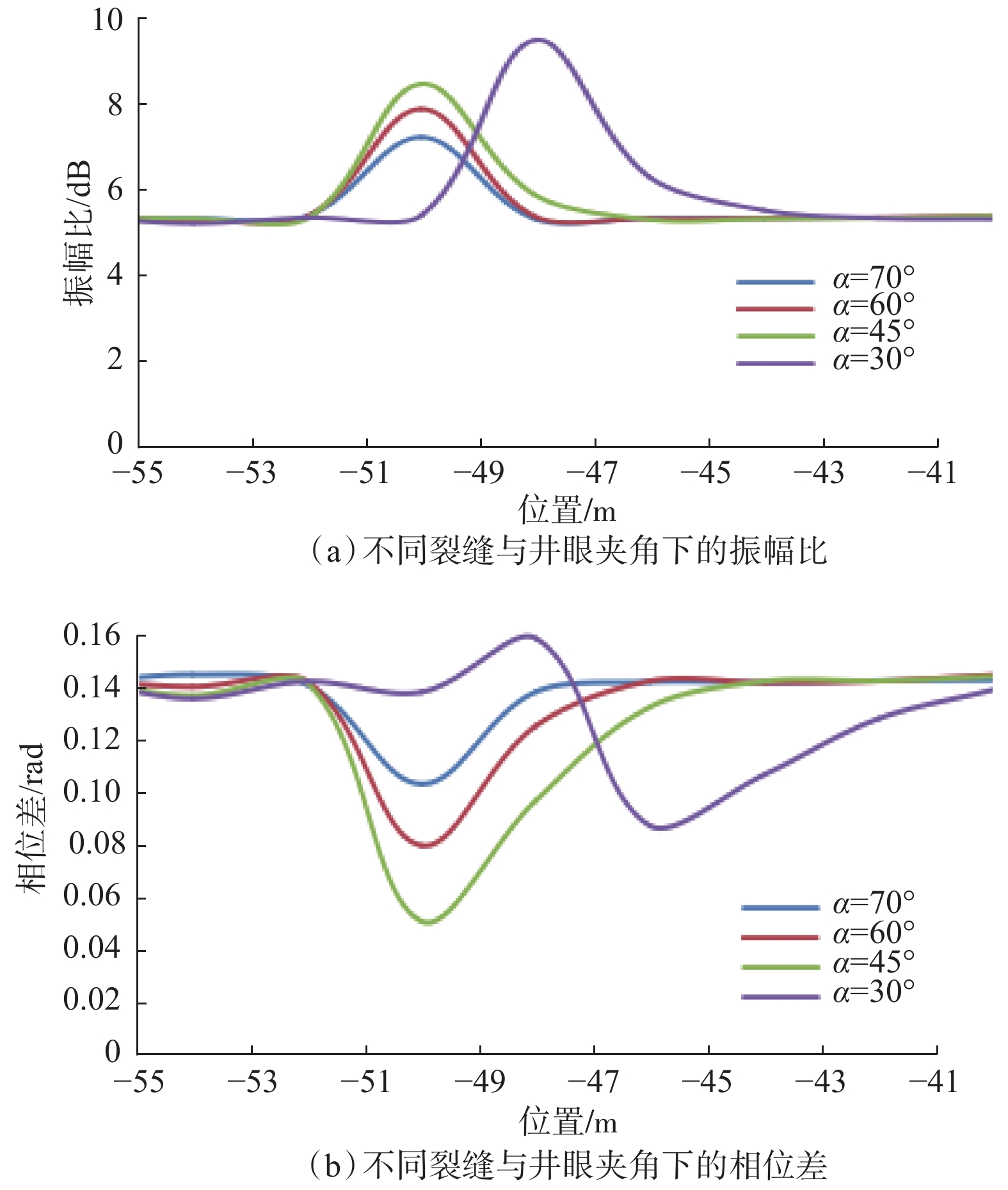
  • 摘要: 为了解低渗透储层中油气资源的分布状况,更好地控制油气井产能,需要对水力压裂产生的裂缝进行系统研究。以电磁场理论为基础,建立了均质各向同性地层解析模型,再利用有限元软件建立了直井的地层与裂缝模型。在此基础上,对电磁波测井仪接收线圈之间感应电动势的振幅比和相位差进行了正演模拟。结果显示:裂缝位置处的信号振幅比与相位差曲线变化显著,相位差曲线分层明显;根据相位差曲线更容易分辨不同高度及含不同电导率支撑剂的裂缝;最敏感的影响因素是支撑剂电导率;当仪器源距为0.25 m、发射频率为400 kHz时,所获得的模拟响应结果更好。研究结果表明,利用随钻电磁波测井探测直井水力裂缝是可行的,这为直井水力裂缝探测和评价提供了一定的理论依据。

     

    Abstract: In order to understand the distribution of oil and gas resources in low permeability reservoirs and better control the productivity of oil and gas wells, it is necessary to systematically study the fractures generated from hydraulic fracturing. Based on the theory of electromagnetic field, an analytical model in homogeneous and isotropic formations was established, then the formation and fracture model of vetical well was established using finite element software. Forward modeling was carried out on the amplitude ratio and phase difference of induced electromotive force between the receiving coils of electromagnetic wave logging tool. The results of the forward modeling showed that: signal amplitude ratio and phase difference around fracture change significantly; phase difference shows an obvious stratification, and there is higher resolution for propped fractures with different heights and different electrical conductivities of proppant. The most sensitive factor is the electrical conductivity of the proppant. A better simulation response was obtained under the source distance of the instrument was 0.25 m and the transmitting frequency was 400 KHz. The above research results indicated that it is feasible to use electromagnetic wave logging while drilling to detect hydraulic fractures in vertical wells. The research conclusions also provided a certain theoretical basis for the detection and evaluation of hydraulic fractures in vertical wells and could thus be applied in similar situations.

     

/

返回文章
返回