漏失循环条件下井筒温度预测与漏层位置判断

The Prediction of Wellbore Temperature and the Determination of Thief Zone Position under Conditions of Lost Circulation

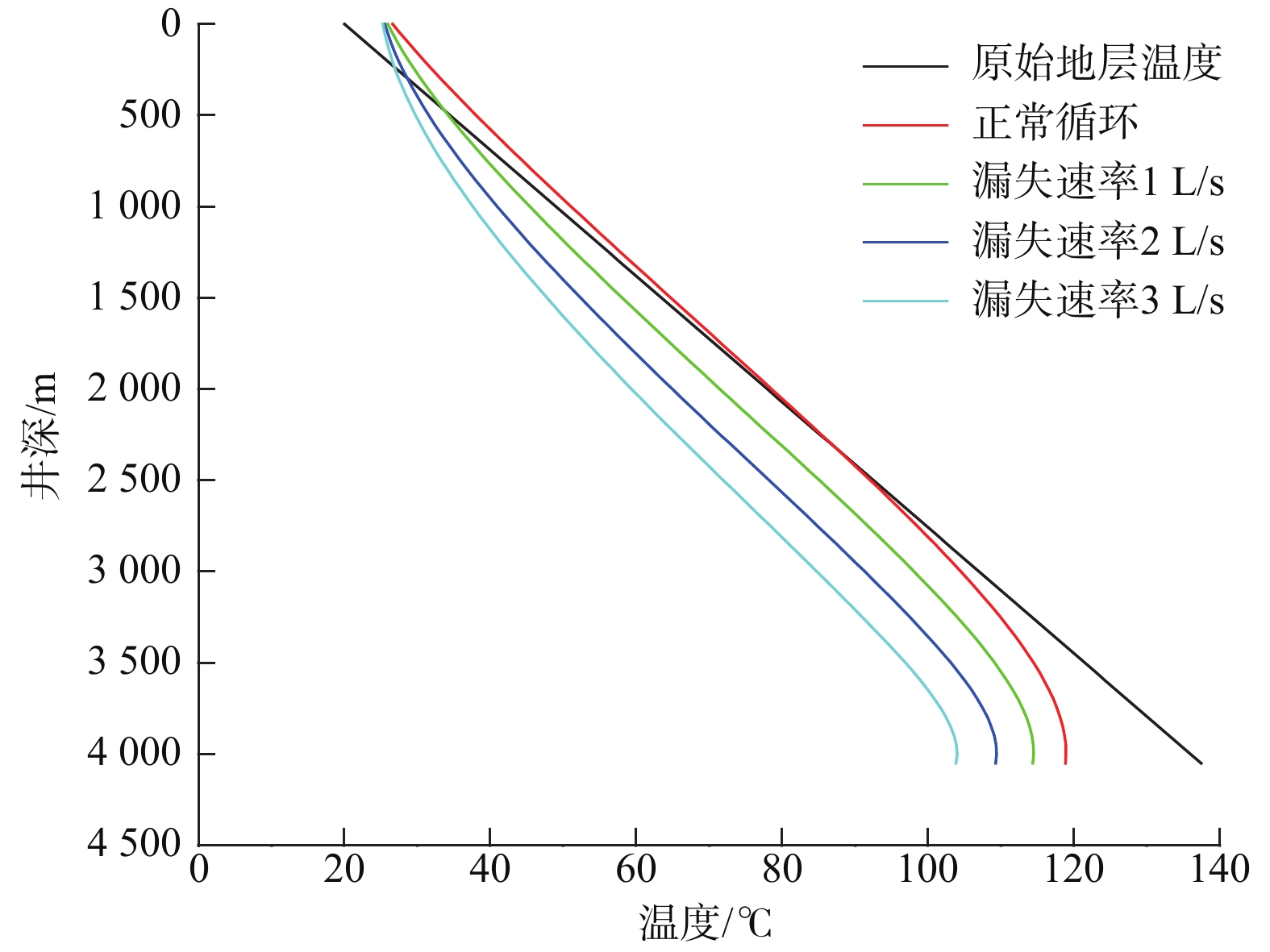
  • 摘要: 针对发生井漏时井筒流体温度预测准确度低和漏层位置判断难度大的问题,在分析漏失循环条件下井筒传热规律的基础上,综合考虑热源项和变质量流动对井筒温度的影响,建立了漏失循环条件下直井井筒温度场模型,利用现场实测数据验证了模型的可靠性,分析了漏失速率和漏失层位对井筒温度分布规律的影响。数值模拟结果表明,与Chen模型相比,所建模型的温度计算结果更接近于实测温度,平均相对误差为2.1%;漏失循环条件下,漏失速率对井底流体温度的影响明显大于其对井口流体温度的影响;此外,漏失发生在上部裸眼井段时,环空流体温度梯度分布曲线上均有一个拐点,且拐点位置与漏层位置一致。研究结果表明,所建模型可以准确预测漏失循环条件下直井井筒中的温度分布,现场可根据环空温度梯度分布曲线判断漏层位置。

     

    Abstract: In view of the fact of low accuracy of wellbore fluid temperature prediction and difficulty in identifying the position of the thief zone when the circulation loss occurs, a model of wellbore temperature field under lost circulation was established based on the analysis of wellbore heat transfer laws by comprehensively considering the influences of heat source items and variable mass flow on wellbore temperature. The reliability of this model was verified by field measured data, and the influences of the leakage rate and the thief zone on the temperature distribution laws of wellbore were analyzed. The numerical simulation results show that when compared with the model from Chen, the outputs from the new model are closer to the measured temperature, with the average relative error of 2.1%. The leakage rate imposes much greater influence on the bottom hole fluid temperature than the wellhead fluid temperature. In addition, when the leakage occurs in the upper open hole section, there is an inflection point on the temperature gradient distribution curve of the annulus fluids, and the position of the point is consistent with that of thief zone. The research results suggest that the model can accurately predict wellbore temperature distribution under lost circulation conditions, and the position of the thief zone can be determined in the field according to the annulus temperature gradient distribution curve.

     

/

返回文章
返回