深水钻井隔水导管承载能力影响因素分析

An Analysis of the Factors Affecting the Load-Bearing Capacity of Deep Water Drilling Conductor

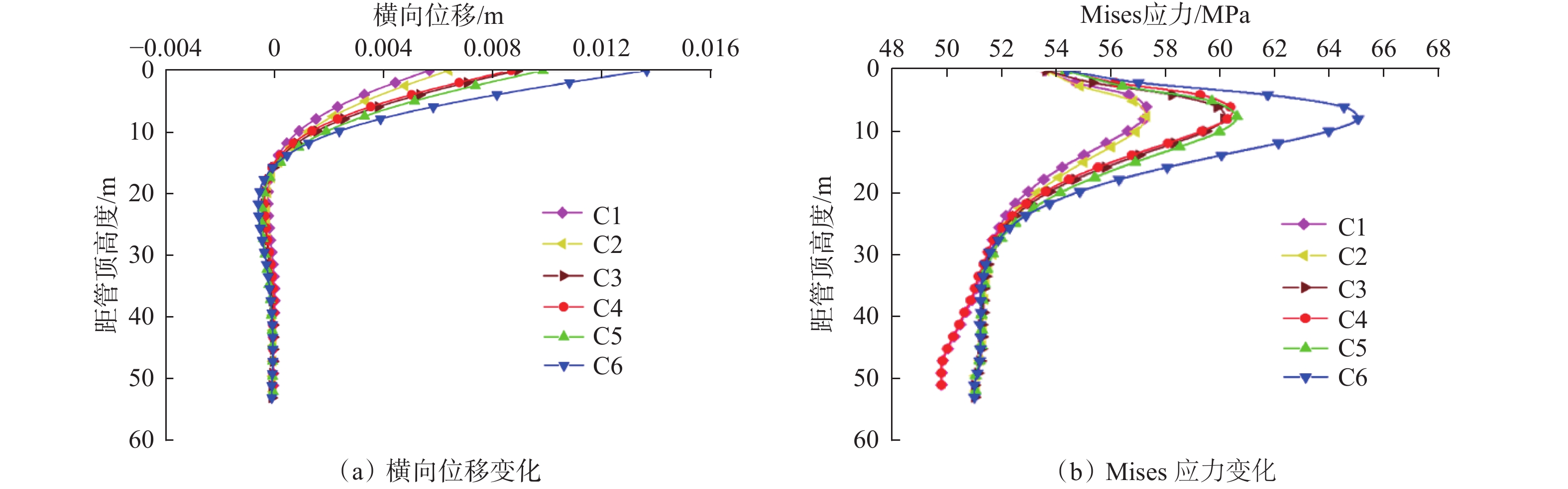
  • 摘要: 深水钻井中隔水导管的下入深度、力学性能及载荷特征是影响其承载能力的主要因素,隔水导管的承载能力又直接影响其与井口连接的稳定性,而目前设计隔水导管尺寸及下入深度时大多基于工程经验,缺乏理论依据。通过建立综合考虑海底地层性质、轴向和横向载荷、隔水导管力学性能的力学模型,分析了影响隔水导管横向位移及应力分布的因素,结果发现:井口横向载荷是影响隔水导管横向位移的主控因素,而轴向载荷对隔水导管横向位移的作用并不显著;随着隔水导管入泥深度增大,其横向位移逐渐减小,而应力则先增大后减小,其中位移和应力在入泥深度10.00 m左右处存在拐点;地基力学性能对隔水导管位移及应力分布的影响极其明显。研究结果对不同海水波动、海床力学性能等工况下深水隔水导管的力学性能参数优选、结构尺寸选择及下入深度确定具有理论及工程指导意义。

     

    Abstract: Driving depth, mechanical performance and load characteristics of deep water drilling conductor are the main factors affecting the load-bearing capacity. It is important to keep in mind that capacity directly affects connection stability between the conductor and wellhead. Currently, the size and driving depth of conductor are mainly based on experiences and they lack a theoretical basis. By establishing a mechanical model in which seabed stratum properties, longitudinal and lateral loads, and mechanical performance of conductor are comprehensively considered, the lateral displacement and stress distribution laws of the lower conductor section under various load are analyzed, and it is demonstrated that lateral load at wellhead is the main factor controlling the lateral displacement of conductor, while the axial load does not significantly affect the lateral displacement of the conductor. As the driving depth of conductor increases, the lateral displacement of the conductor decreases gradually, while the stress increases firstly and then decreases. The inflection point of change for the displacement and stress is around 10m at the conductor driving depth. The mechanical performance of the foundation exerts an obvious influence on the displacement and stress distribution of conductor. The research results are of theoretical and engineering significance for the optimization of mechanical parameters, structural size and driving depth of deepwater conductor under different working conditions, such as seawater fluctuation and seabed mechanical performance.

     

/

返回文章
返回