塔河油田溶洞型碳酸盐岩油藏注入氮气垂向分异速度及横向波及范围研究

Study on Vertical Differential Velocity and Transverse Scope of Nitrogen Injection in Carbonate Reservoirs with Fractures and Vugs in the Tahe Oilfield

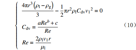
  • 摘要: 塔河油田溶洞型碳酸盐岩油藏的溶洞发育规模及形态不确定性大,非均质性强,注水开发效果越来越差。为了给注气开发提供依据,分析了该类油藏注入氮气的垂向分异速度和横向波及范围。根据力学关系,建立了溶洞条件下氮气垂向分异速度解析式;采用3D打印技术制作了物理试验模型,基于物理模拟试验,验证了数值模拟的正确性;结合数值模拟,研究了氮气注入速度、原油黏度、油水界面和气水比对氮气在溶洞型油藏中横向展布的影响。研究结果表明,气体横向波及范围会随着注气速度增大、原油黏度降低、油水界面升高而增大,但气水比对气体横向波及范围的影响无明显规律。

     

    Abstract: The fractured and vuggy carbonate reservoirs of the Tahe Oilfield suffer a deteriorating water flooding development due to the large development scale and pattern uncertainty of fractures and vugs, coupled with a high degree of heterogeneity. In order to provide references for gas injection development, the vertical differentiation velocity after nitrogen injection in those reservoirs and its effect were analyzed. Based on the mechanical relationship, the vertical differentiation velocity analytical equation of nitrogen was established under the conditions of fractures and vugs. A physical test model was constructed from 3D printing technology, and the verification of numerical simulation was based on the physical simulation test. The influences of nitrogen injection rate, crude oil viscosity, oil-water interface, and gas-water ratio on the lateral distribution of nitrogen in reservoirs with fractures and vugs were studied in combination with numerical simulation. The study results suggested that lateral sweepage area of gas will increase with the increase of injection rate, along with a decrease of crude oil viscosity and the elevation of oil-water interface. However, the effect of gas-water ratio on the lateral sweepage area of gas is irregular.

     

/

返回文章
返回