压裂井组非线性渗流模型求解

Solution of Nonlinear Seepage Model for Fracture Well Groupin Low Permeability Reservoirs

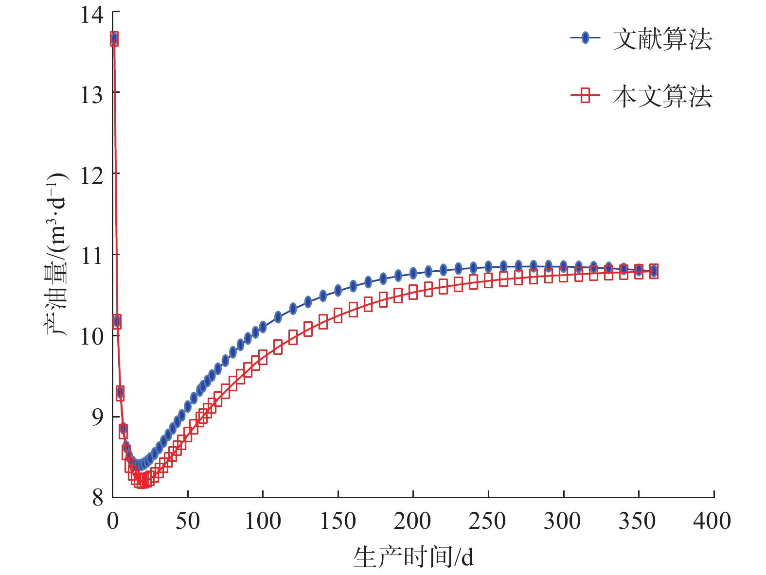
  • 摘要: 精细描述低渗透油藏中流体流速与与压力梯度的非线性关系,是准确计算低渗透油藏压裂井组产量的基础。为此,在描述低渗透油藏非线性渗流特征的基础上,建立了低渗透油藏和压裂裂缝耦合的非线性数学模型,该模型根据渗流特征将渗流过程分为非线性渗流阶段和拟线性渗流阶段进行计算。利用Taylor展开对非线性数学模型进行线性化处理,建立了有限差分方程组,并编制了计算机求解程序。算例分析表明:采用非线性数学模型计算出的地层中压力和饱和度的分布符合地层实际情况;五点法井网压裂井组注水井的裂缝导流能力会随着裂缝闭合而降低,注水效果变差,导致油井产量降低。研究结果表明,低渗透油藏和压裂裂缝耦合的非线性数学模型可以较准确地描述低渗透油藏中流体流速与压力梯度的非线性关系,为准确计算低渗透油藏压裂井组产量奠定基础,为低渗透油藏注水开发提供指导。

     

    Abstract: Having a closely detailed description of the nonlinear relationship between flow velocity and pressure gradient in low permeability reservoir is necessary for accurately developing the frac design, and calculating the production of a group (or unit) of wells that have been hydraulically fractured. Therefore, based on the description of the nonlinear seepage characteristics of low permeability reservoir, a nonlinear mathematical model of coupling low permeability reservoir and hydraulic fractures was established, which divided the seepage process into the nonlinear seepage stage and quasi-linearity stage according to the seepage characteristics. The Taylor expansion was used to linearize the nonlinear mathematical model, and established the finite difference equations, and then formed the computer solving model. The results of example analysis showed that the distributions of formation pressure and saturation calculated by the nonlinear mathematical model were in line with the actual situations of the stratum; the fracture flow conductivity of injection well in the fractured five-spot well pattern decreased with the formation closure, which led to poor water injection effect and low oil well production. Thus, the fracture design should be modified in accordance with the study’s results. The study results indicated that the nonlinear mathematical model and hydraulic fracture coupling could accurately describe the nonlinear relationship between flow velocity and pressure gradient in low-permeability reservoir. This breakthrough establishes a foundation to calculate the production of fractured well group in low-permeability reservoir accurately, and provides a guidance for water flooding development of low permeability reservoir.

     

/

返回文章
返回