页岩油高效开发钻井完井关键技术及发展方向

Key Drilling/Completion Technologies and Development Trends in the Efficient Development of Shale Oil

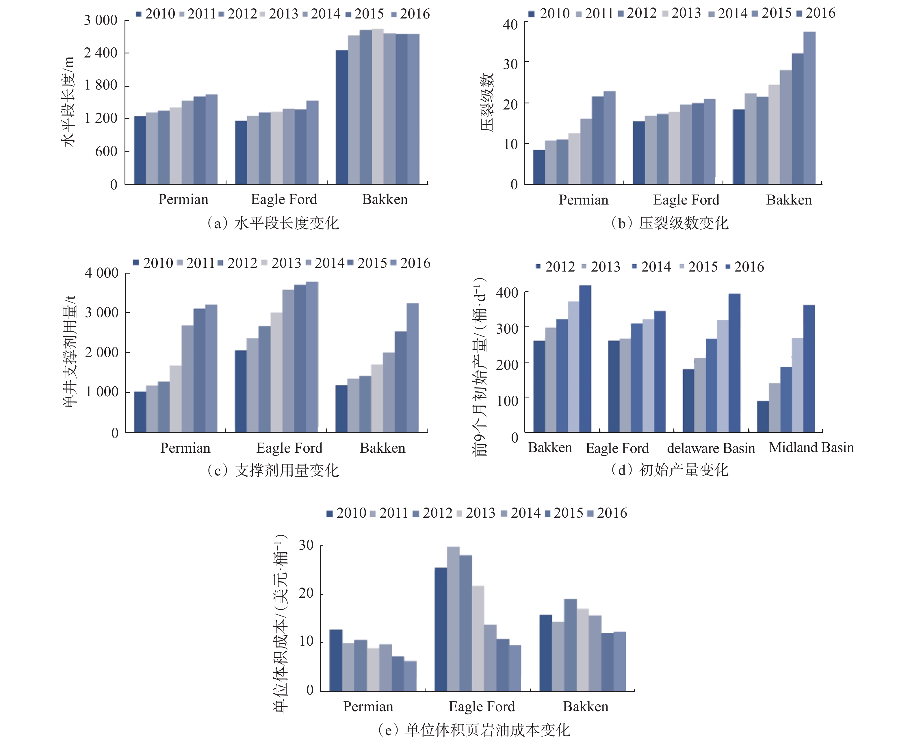
  • 摘要: 近年来美国的页岩油产量急剧增长,页岩油钻井完井技术也呈现出一些新的特点和动向。为了给我国页岩油高效勘探开发提供参考和借鉴,分析了国内外页岩油的勘探开发现状,介绍了实现页岩油经济高效开发所采用的关键钻井完井技术,包括储层甜点评价与识别技术、长水平段水平井技术、高密度分段压裂技术、物探–地质–工程一体化技术和大数据分析与工程优化技术等,并结合页岩油经济高效开发面临的挑战及我国页岩油的勘探开发现状,提出了适应我国页岩油储层高效开发的钻井完井关键技术及发展方向,以指导我国页岩油的经济高效开发,保障国家能源安全。

     

    Abstract: In recent years, shale oil production in the United States has increased dramatically, in large part due to new features and trends in shale oil drilling/completion. In order to provide references and experiences for the efficient E & P of shale oil in China, this paper analyzes the current status of shale oil E & P at home and abroad, and introduces the key drilling/completion technologies used to boost the economical and efficient development of shale oil. The new trends include significant improvements in reservoir sweet spot evaluation and identification, the ability to extend long lateral horizontal well development, increases in high-density staged fracturing, an analytics-led geophysical-geological-reservoir-engineering integration, and engineering optimization using big data analysis. According to the challenges in the economical and efficient development of shale oil, as well as the current status of shale oil E & P in China, this paper also proposes the development directions of key shale oil drilling/completion technologies. This study suggests that the proposal of those key technologies and development directions suitable for domestic shale oil reservoirs is of great significance for the economic and efficient development of shale oil in China, and for national energy security.

     

/

返回文章
返回