大斜度井段岩屑床休止角预测模型的建立及修正

The Establishment and Correction of a Prediction Model for the Repose Angle of a Cuttings Bed in Highly Deviated Well Interval

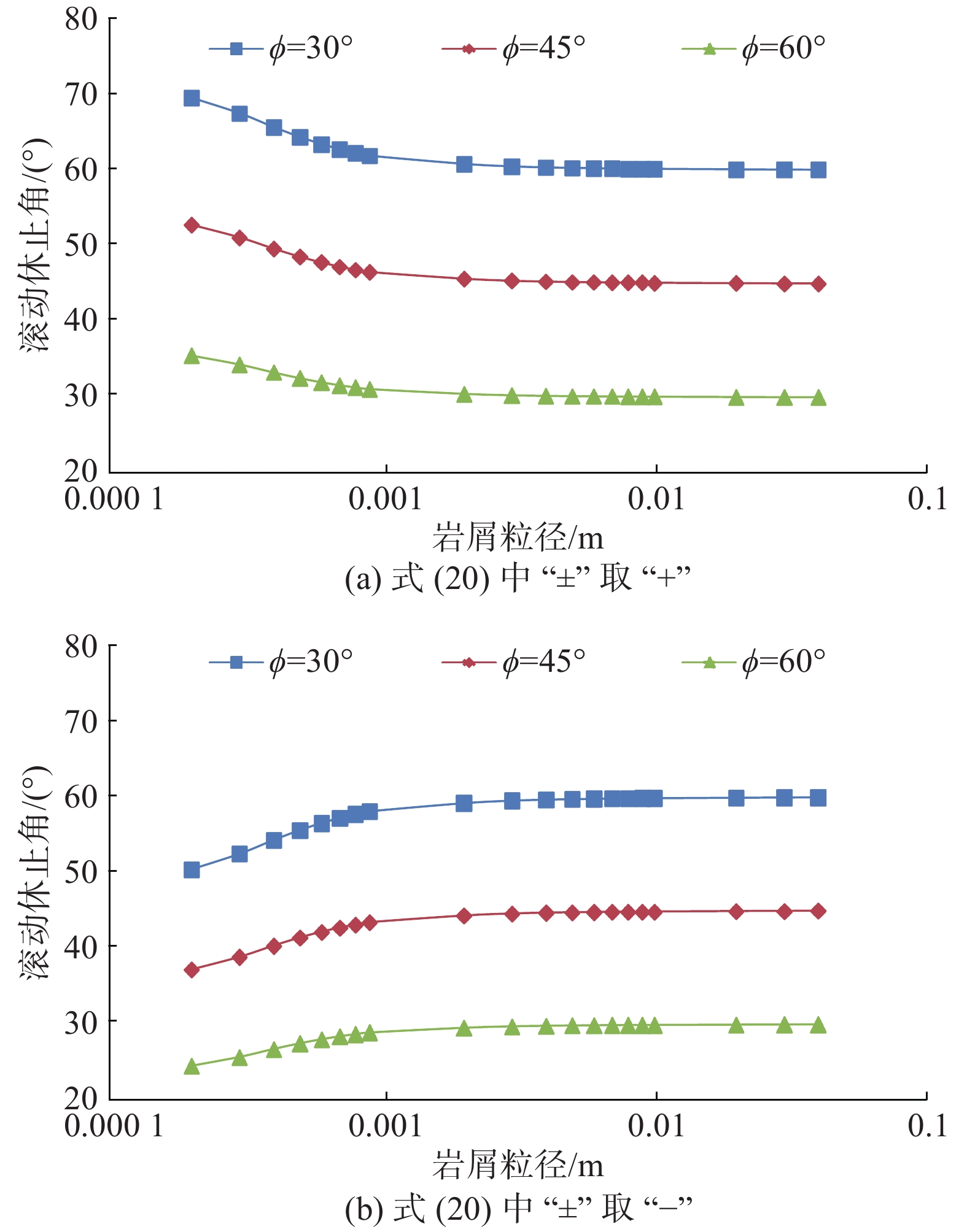
  • 摘要: 大斜度井段岩屑床容易失稳或整体下滑迅速堆积成砂塞,而岩屑床失稳位置不好预测。为解决该问题,分析了岩屑床在大斜度井段的受力情况,建立了岩屑床休止角预测模型。基于楔入堆积模型,通过分析平均岩屑床面颗粒滚动与滑动时的受力情况,结合泥沙沉积学中的容重概念,建立了岩屑床休止角预测模型;同时,通过岩屑在不同浓度聚丙烯酰胺聚合物(PAM)溶液中的休止角测量试验,对该预测模型进行了修正。不同浓度聚丙烯酰胺聚合物溶液中岩屑床休止角的试验值分别为26.9°、27.5°、29.7°和30.2°,由滑动休止角预测模型得到滑动休止角的理论值分别为24.2°、25.8°、27.1°和28.5°,而滚动休止角理论值也不超过30°,理论值相较于试验值偏于保守,但按理论值可保证钻井作业安全。研究认为,建立和修正后的大斜度井段岩屑床休止角预测模型,其预测结果较为可靠,可在确定井眼清洁工具有效位置、判断井下故障位置时应用和参考。

     

    Abstract: The cuttings bed in the highly-deviated well interval of a horizontal well can easily cause instability or overall sliding and successive rapid sand plug accumulation, while the instability section of cuttings bed is difficult to predict. In order to solve this problem, the force balance of the cuttings bed in a highly-deviated well interval was analyzed, and the prediction method for the repose angle of cuttings bed was studied. Based on the wedging accumulation model in sedimentology, the prediction model for the repose angle of cuttings bed was established by analyzing the force conditions of particle rolling and sliding of the average cuttings bed surface and combining it with the bulk density concept. At the same time, the prediction model was corrected accordingly by measuring the repose angle of cuttings bed in polyacrylamide polymer (PAM) solutions with various concentrations. The test values of the repose angles in those polyacrylamide polymer solutions were 26.9°, 27.5°, 29.7° and 30.2°, respectively, and the theoretical values obtained from the sliding repose angle prediction model were 24.2°, 25.8°, 27.1° and 28.5°, respectively. The theoretical value is more conservative compared with the tested one, whereas the theoretical value can ensure safe drilling. According to this research, the established and corrected prediction model for the repose angle of cuttings bed in a highly-deviated well interval can render reliable prediction results, and it could be applied and provide references in determining the effective section of the wellbore cleaning tools and the location of downhole failures.

     

/

返回文章
返回