深水钻井管柱系统动力学分析与设计方法研究

A Study of the Dynamic Analysis and Design Method of Deepwater Drilling String Systems

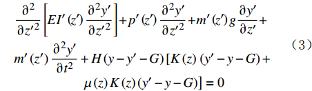
  • 摘要: 深水钻井过程中,从平台延伸到井底的钻柱会在不同深度处与隔水管或井筒发生多点碰撞和摩擦,呈现出接触非线性特征。为了准确掌握深水钻井管柱系统的非线性动力学特性,将其简化为管中管结构,并提出了对应的管柱动力学模型。采用Abaqus有限元软件,对建立的管柱动力学模型进行动态响应模拟,并将模拟结果导入Isight优化软件,进行基于可靠度分析的多目标优化设计,确定出在工程可行性和安全可靠性方面都满足要求的设计参数组合。研究发现,相比于单独考虑隔水管的模型,提出的管中管模型所模拟的管柱系统整体变形程度较小,说明内外管柱之间的相互作用对深水钻井管柱系统的整体偏移有抑制作用;此外,提出的基于可靠度分析的多目标优化设计方法,可以避免优化设计结果因靠近约束边界而在参数波动情况下失效的问题。

     

    Abstract: During deepwater drilling operations, the drilling string extending from a platform to the bottom hole will collide and rub with the riser or wellbore at multiple points at different depths, presenting the characteristics of nonlinear contact. In order to accurately understand the nonlinear dynamic characteristics of deepwater drilling string systems, we proposed a dynamic model that based on the structure of pipe-in-pipe. The dynamic response simulation was conducted by using Abaqus finite element software, and then the simulation results were imported to Isight optimization software to carry out the multi-objective optimization design based on reliability analysis to determine the combination of design parameters that meet the requirement of engineering feasibility and safety reliability. The study suggests that the overall deformation of the string system from the proposed pipe-in-pipe model is smaller when compared with a model that only considers the riser, indicating that the overall offset of deepwater drilling string system is restrained by the interaction between the inner and outer strings. In addition, the proposed multi-objective optimization design method based on reliability analysis can effectively avoid the failed optimization design caused by parameter fluctuations in the vicinity of the constraint boundary.

     

/

返回文章
返回