Abstract:
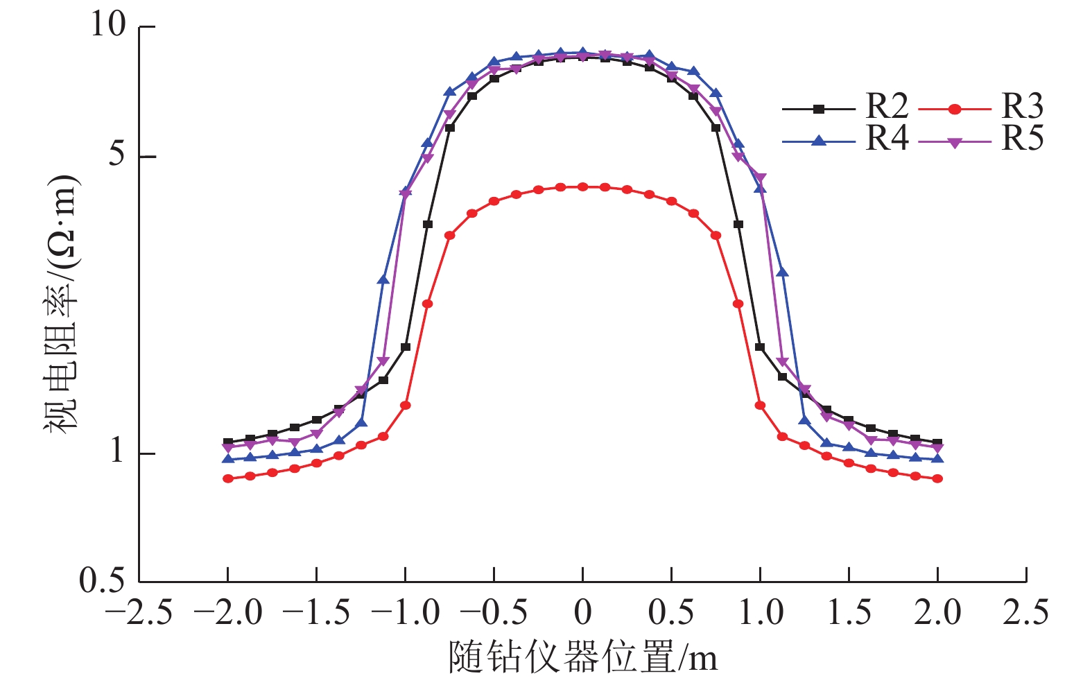
Focusing on the problem of low distribution of circumferential imaging electrodes in existing resistivity imaging instruments while drilling, a new instrument imaging electrode distribution scheme was designed. The new instrument arranges 8 circular imaging electrodes in the circumferential direction. They are placed in 2 rows in the longitudinal direction, and each row of imaging electrodes has different diameters. In this configuration, it is possible that it can not only perform full wellbore coverage scan imaging during composite drilling, but also obtain the borehole images of 8 sectors with fixed orientation during slide drilling. Taking that into consideration, the complex horizontal layered strata, strata with circumferential anomalous bodies and horizontal well stratigraphic models were established, and analyzed the logging response and laws of the instrument in different stratigraphic models by using finite element method. The analysis results showed that this instrument had good longitudinal resolution, the longitudinal resolution of the imaging electrode was equivalent to its diameter, which could identify the azimuthal strata with high resistivity accurately; the horizontal well strata interface had different effects on the various orientation measurements of this instrument. Further, the response of lateral measurement mode at the strata interface was similar to that of cable lateral logging. The instrument scheme has good applicability in complex strata, and in the future, the research results could be used to guide instrument development and data interpretation.